1,3-dipôle
Un 1,3-dipôle ou dipôle 1,3 est un type de composés organiques avec un système de 4 électrons-π délocalisés sur trois atomes. Ils réagissent dans les cycloadditions 1,3-dipolaires[1],[2].
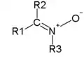
![]() ![]() |
| de haut en bas azotures, nitrones, et composés nitro sont des exemples de 1,3-dipôles. |
Les dipôles 1,3 connus sont :
- les azotures
- l'ozone
- Les composés nitro
- Les composés diazo
- Certains oxydes
- Les composés azoxy
- les oxydes de carbonyle (voir ozonolyse)
- les oxydes de nitrile
- l'oxyde nitreux
- les nitrones
- certaines imines:
- l'imine d'azométhine
- les nitrilimines
- les imines de carbonyle
- certains ylures
- l'ylure d'azométhine
- les ylures de nitrile
- les ylures de carbonyles
Notes et références
- Francis A. Carey, Richard J. Sundberg, Advanced Organic Chemistry, Part A: Structure and mechanisms, Springer, 2007, p. 874. (ISBN 978-0-387-44897-8).
- (en) « dipolar compounds », IUPAC, Compendium of Chemical Terminology [« Gold Book »], Oxford, Blackwell Scientific Publications, 1997, version corrigée en ligne : (2019-), 2e éd. (ISBN 0-9678550-9-8)
- Portail de la chimie
Cet article est issu de Wikipedia. Le texte est sous licence Creative Commons – Attribution – Partage à l’identique. Des conditions supplémentaires peuvent s’appliquer aux fichiers multimédias.

