Amylopectine
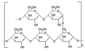
L'amylopectine est un polymère d'oses ramifié (polyoside) que l'on trouve dans les plantes. Il est constitué d'unités α-D-glucopyranose et est avec l'amylose le constituant de l'amidon. Les résidus D-glucose sont liés de manière linéaire par des liaisons alpha 1→4. Des ramifications apparaissent avec une liaison alpha 1→6 tous les 24 à 30 résidus D-glucose.
| Amylopectine | |
| |
| Structure de l'amylopectine. | |
| Identification | |
|---|---|
| No CAS | |
| No ECHA | 100.029.907 |
| No CE | 232-911-6 |
| PubChem | 439207 |
| Apparence | poudre blanche |
| Propriétés chimiques | |
| Formule | [C6H10O5]n |
| Masse molaire | variable |
| Propriétés physiques | |
| Solubilité | soluble dans l'eau |
| Unités du SI et CNTP, sauf indication contraire. | |
Son équivalent chez les animaux est le glycogène, qui a la même composition et structure, mais possède plus de ramifications (tous les 8 à 12 résidus D-glucose liés par les carbones 1→6).
Il domine toujours largement : 72 à 80 % dans le blé et la pomme de terre, 94 % dans le riz, le sorgho et le seigle. Le maïs cireux a un albumen composé à 100 % d'amylopectine.
Notes et références
Voir aussi
Cet article est issu de Wikipedia. Le texte est sous licence Creative Commons – Attribution – Partage à l’identique. Des conditions supplémentaires peuvent s’appliquer aux fichiers multimédias.
