Cytidine triphosphate
La cytidine triphosphate (CTP) est un coenzyme de transfert de groupements phosphate qui est associé de façon non covalente (c'est un co-substrat) aux enzymes de la classe des kinases.
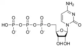
| Cytidine triphosphate | |
| |
| structure de la cytidine triphosphate. | |
| Identification | |
|---|---|
| No CAS | |
| No ECHA | 100.000.556 |
| No CE | 200-611-4 |
| ChEBI | 17677 |
| SMILES | |
| InChI | |
| Propriétés chimiques | |
| Formule | C9H16N3O14P3 [Isomères] |
| Masse molaire[1] | 483,156 3 ± 0,013 1 g/mol C 22,37 %, H 3,34 %, N 8,7 %, O 46,36 %, P 19,23 %, |
| Unités du SI et CNTP, sauf indication contraire. | |
Les propriétés de la cytidine triphosphate et de ses dérivés, cytosine diphosphate et cytosine monophosphate, sont identiques à, respectivement, l'adénosine triphosphate (et ses dérivés).
Notes et références
- Masse molaire calculée d’après « Atomic weights of the elements 2007 », sur www.chem.qmul.ac.uk.
- Portail de la biologie cellulaire et moléculaire
- Portail de la biochimie
- Portail de la chimie
Cet article est issu de Wikipedia. Le texte est sous licence Creative Commons – Attribution – Partage à l’identique. Des conditions supplémentaires peuvent s’appliquer aux fichiers multimédias.
