Kevlar
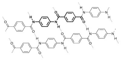
Le poly(p-phénylènetéréphtalamide) (PPD-T) est un polymère thermoplastique constitué de noyaux aromatiques séparés par des groupes amide. Il appartient à la famille des fibres d'aramides.

Le PPD-T est commercialisé sous le nom déposé Kevlar. Ce dernier, comme les autres fibres textiles, ne fait pas partie des matières plastiques.
Histoire

En 1964, Stephanie Kwolek est chargée par la société Du Pont de Nemours de développer un matériau qui pourrait remplacer le cordon en acier noyé dans le caoutchouc des pneus de voiture. En compagnie de Herbert Blades, elle finit par créer accidentellement le Kevlar, une fibre synthétique qui est, finalement, cinq fois plus résistante que l’acier et beaucoup plus légère. De nos jours, le Kevlar est utilisé dans tous les domaines, des instruments de cuisine aux vaisseaux spatiaux.
La société choisit d'appeler ce polymère « Kevlar ». Il fut commercialisé en 1971. Depuis, le brevet a expiré et sont apparus des produits concurrents comme le Twaron de Teijin.
Structure et propriétés



Le Kevlar est une fibre synthétique qui possède de très bonnes propriétés mécaniques en traction (résistance à la rupture de 3 100 MPa et module entre 70 et 125 GPa) et fatigue. Il n'est toutefois pas aussi performant que la fibre de carbone qui peut atteindre une résistance à la traction de 7 000 MPa (fibres très haute résistance) et un module de 520 GPa (fibres très haut module).
Le Kevlar possède un réseau de liaisons hydrogène entre les chaînes polymères qui lui confère une grande rigidité.
La résistance à la traction spécifique (rapportée à la densité) est supérieure à celle de l'acier, mais inférieure à celle des fibres de carbone ou du Dyneema[1].
Du fait de la présence du groupe phényle dans la molécule de PPD-T, il n'y a pas libre rotation autour de la liaison carbone-azote, la conformation s-cis est impossible (encombrement stérique). La conformation s-trans est donc la plus généralement observée. Les chaînes sont bien alignées, régulières et orientées. De ce fait, le Kevlar est très cristallin, ce qui explique sa rigidité (E) et sa résistance à la rupture (σ).
Il existe plusieurs grades de Kevlar : Kevlar, Kevlar 52, Kevlar 49, etc.
- Le Kevlar de base est surtout utilisé pour le renforcement des pneumatiques et d'autres caoutchoucs.
- Le Kevlar 29 est principalement utilisé dans des applications industrielles telles que des câbles, ou bien pour remplacer l'amiante, la doublure de freins, pour le renforcement de la coque d'un bateau, ou encore pour la fabrication des gilets pare-balles.
- Le Kevlar 49 est le grade ayant le plus grand module en traction de tous les aramides. Il est utilisé dans certains plastiques et composites, pour le renforcement de coques et pour la fabrication de certaines pièces d'avions et de cadres de vélos.
Qualités :
- bonne résistance spécifique à la traction[2] ;
- faible densité (1,45)[2] ;
- dilatation thermique nulle[2] ;
- absorption des vibrations, amortissement[2] ;
- excellente résistance aux chocs et à la fatigue[2] ;
- bon comportement chimique vis-à-vis des carburants[2].
Défauts :
- mauvaise résistance aux rayons UV[2] ;
- faible tenue en compression[2] ;
- reprise d'humidité importante (4 %) : étuvage avant imprégnation[2] ;
- perte de sa résistance balistique lorsqu'il est humide ;
- faible adhérence avec les résines d'imprégnation[2] ;
- usinage difficile[2] ;
- mauvaise tenue au feu (décomposition à 400 °C)[2].
Utilisation

Le PPD-T possède différentes propriétés intéressantes, telles la résistance à la chaleur (résiste à des températures pouvant aller jusqu'à 400 °C, il se décompose au-delà)[précision nécessaire], à l'élongation ou au cisaillement. Il est donc utilisé dans de nombreux domaines où ces caractéristiques sont recherchées :
- gilets pare-balles, casques (associé à une ou plusieurs autres fibres telles que la fibre de verre ou de carbone) (tissage + résistance) ;
- montures de lunettes ;
- renforts de vêtements plus ou moins importants en fonction de la personne ;
- voiles et coques de bateaux (résistance à l'élongation et aux solutions alcalines) ;
- domaine aéronautique, aérospatial (ailes d'avions…) ;
- matériel sportif (patinage de vitesse, snowboard, monoski, ski, canoë-kayak, escrime, raquettes ou cordage, pelote basque, aviron, etc.) ;
- pneumatiques (résistance au cisaillement) ;
- jonglage : les jongleurs de feu utilisent le PPD-T sur leur matériel, par exemple les torches, bâtons du diable, bolas, etc. Ce matériau, trempé dans du pétrole désaromatisé est résistant et peut être enflammé un grand nombre de fois avant d'être remplacé. Certains jongleurs utilisent des gants en PPD-T pour jongler aux balles (pratique peu répandue). Il est également utilisé pour fabriquer des vêtements protecteurs (pull-overs, T-shirts, robes, pantalons), pour les cracheurs de feu (également appelés dragons), autres artistes et cascadeurs. Vendu au mètre, on l'enroule autour du matériel réservé à cet usage et on le fixe avec des vis ;
- bâtiment : le PPD-T est utilisé pour les bâtiments de haute sécurité (par exemple le Pentagone aux États-Unis) ;
- Hi-Fi : pour la membrane de certains haut-parleurs ;
- téléphonie : le Motorola RAZR et le OnePlus 2 sont habillés de fibre Kevlar ;
- musique : certaines courroies de pédales de grosse caisse sont en fibre Kevlar ainsi que des membranes de tambours tels que les djembes ;
- sapeurs-pompiers : certaines bouteilles d'air ont un revêtement en Kevlar ;
- prothèses : on utilise le PPD-T pour réaliser certaines emboîtures de hanche.
- Travaux forestiers : les pantalons de bucheronnage ont une doublure intérieure faite de plusieurs couches de Kevlar tissé qui arrêtent la chaîne d'une tronçonneuse en mouvement.
Gilet pare-balles
Avant les années 1970, la plupart des gilets pare-balles étaient en acier ce qui les rendait lourds et encombrants. L'apparition du Kevlar de la société Du Pont a permis le développement d'un nouveau type de gilet pare-balles flexible et beaucoup plus léger, ce matériau étant aussi plus résistant que l'acier[3]. Ce matériau était cependant prévu à l'origine pour le renforcement de pneus, et ses réelles capacités antibalistiques étaient inconnues. Le grand potentiel de ce nouveau polymère poussa le National Institute of Justice américain à effectuer des recherches divisées en quatre phases. La première consista à tester la fibre de Kevlar afin de découvrir si elle pouvait arrêter une balle. La seconde consistait à trouver quelle épaisseur de Kevlar était nécessaire selon la vitesse et le type de projectile. Cette phase permit ainsi la création du premier prototype pouvant protéger contre les principales menaces des policiers de l'époque, soit les calibres .38 Special et .22 Long Rifle.
En 1973, des chercheurs de l'Arsenal Edgewood de l'armée américaine développèrent un gilet pare-balles fait de sept couches de Kevlar pour essai sur le terrain. Ces essais permirent de mettre en évidence la grande perte de résistance du Kevlar lorsque celui-ci était mouillé ou exposé aux ultraviolets, y compris via la simple exposition au Soleil. De plus, les agents de nettoyage à sec ainsi que les agents de blanchiment diminuaient également les propriétés antibalistiques du Kevlar après plusieurs utilisations. Afin de régler ces problèmes, les gilets pare-balles sont maintenant recouverts d'un matériau étanche à l'eau, résistant aux UV et aux agents de nettoyage.
Synthèse

La synthèse du poly(p-phénylènetéréphtalamide) consiste en la polycondensation du p-phénylènediamine (PPD) (ou son chlorhydrate) et du chlorure de téréphtaloyle, en milieu solvanté et à très basse température.
Notes et références
- La fibre du Dyneema (polyéthylène) est moins dense (d~0,97) que la fibre en Kevlar (d~1,45).
- Maurice Reyne, Technologie des composites, 2e éd., Éd. Hermes, 1998.
- Tomic, Sacha. Plus solide que l'acier. In La science des sixties. Paris : Belin, 2014. p. 85-86.
Voir aussi
Articles connexes
- Portail de la chimie
- Portail du textile