Linéarisation C3
La linéarisation de la superclasse C3 est un algorithme utilisé principalement pour obtenir l'ordre dans lequel les méthodes doivent être héritées en présence d'un héritage multiple. En d'autres termes, la sortie de la linéarisation de la superclasse C3 est un ordre de résolution de méthode (MRO) déterministe.
« Dans les systèmes orientés objet avec héritage multiple, un mécanisme doit être utilisé pour résoudre les conflits lors de l'héritage de différentes définitions de la même propriété à partir de plusieurs superclasses. »[1]
La linéarisation de la superclasse C3 est appelée C3 car elle « est cohérente avec trois propriétés[1] » :
- un precedence graph étendue cohérent,
- la préservation de l'ordre de préséance local, et
- appliquant un critère de monotonie.
Il a été publié pour la première fois lors de la conférence OOPSLA de 1996, dans un article intitulé A Monotonic Superclass Linearization for Dylan[1]. Il a été adapté à l'implémentation d'Open Dylan en janvier 2012 [2] à la suite d'une proposition d'amélioration[3]. Il a été choisi comme algorithme par défaut pour la résolution de méthode dans Python 2.3 (et versions ultérieures)[4],[5], Raku[6], Parrot[7], Solidity et le module de programmation orientée objet de PGF/TikZ[8] . Il est également disponible en tant que MRO alternatif, non par défaut, dans le cœur de Perl 5 à partir de la version 5.10.0[9]. Une implémentation d'extension pour les versions antérieures de Perl 5 nommée Class::C3 existe sur CPAN[10] .
Guido van Rossum de Python résume ainsi la linéarisation de la superclasse C3[11] :
« Fondamentalement, l'idée derrière C3 est que si vous écrivez toutes les règles d'ordonnancement imposées par les relations d'héritage dans une hiérarchie de classes complexe, l'algorithme déterminera un ordonnancement monotone des classes qui les satisfait toutes. Si un tel ordre ne peut être déterminé, l'algorithme échouera. »
La description
La linéarisation de la superclasse C3 d'une classe est la somme de la classe plus une fusion unique des linéarisations de ses parents et une liste des parents elle-même. La liste des parents comme dernier argument du processus de fusion préserve l'ordre de priorité local des classes parentes directes.
La fusion des linéarisations des parents et de la liste des parents se fait en sélectionnant la première tête des listes qui n'apparaît pas dans la queue (tous les éléments d'une liste sauf le premier) d'aucune des listes. Notez qu'une bonne tête peut apparaître comme premier élément dans plusieurs listes en même temps, mais il est interdit d'apparaître ailleurs. L'élément sélectionné est supprimé de toutes les listes où il apparaît en tant qu'en-tête et ajouté à la liste de sortie. Le processus de sélection et de suppression d'une bonne tête pour étendre la liste de sortie est répété jusqu'à ce que toutes les listes restantes soient épuisées. Si, à un moment donné, aucune bonne tête ne peut être sélectionnée, car les têtes de toutes les listes restantes apparaissent dans n'importe quelle queue des listes, la fusion est alors impossible à calculer en raison d'ordres incohérents de dépendances dans la hiérarchie d'héritage et de l'absence de linéarisation de l'original. classe existe.
Une approche naïve de division pour régner pour calculer la linéarisation d'une classe peut invoquer l'algorithme de manière récursive pour trouver les linéarisations des classes parentes pour le sous-programme de fusion. Cependant, cela se traduira par une récursivité en boucle infinie en présence d'une hiérarchie de classes cyclique. Pour détecter un tel cycle et casser la récursivité infinie (et réutiliser les résultats des calculs précédents comme optimisation), l'invocation récursive doit être protégée contre la ré-entrée d'un argument précédent au moyen d'un cache ou d'une mémorisation.
Cet algorithme est similaire à la recherche d'un ordre topologique.
Exemple
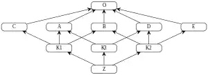
Donné

la linéarisation de Z est calculée comme
Exemple démontré en Python 3
Tout d'abord, une métaclasse pour permettre une représentation courte des objets par leur nom au lieu, par exemple, <class '__main__.A'> <class '__main__.A'> :
class Type(type):
def __repr__(cls):
return cls.__name__
class O(object, metaclass=Type): pass
Ensuite, nous construisons l'arbre d'héritage.
class A(O): pass
class B(O): pass
class C(O): pass
class D(O): pass
class E(O): pass
class K1(C, A, B): pass
class K3(A, D): pass
class K2(B, D, E): pass
class Z(K1, K3, K2): pass
Et maintenant:
>>> Z.mro()
[Z, K1, C, K3, A, K2, B, D, E, O, <class 'object'>]
Exemple démontré en Raku
Raku utilise la linéarisation C3 pour les classes par défaut :
class A {}
class B {}
class C {}
class D {}
class E {}
class K1 is C is A is B {}
class K3 is A is D {}
class K2 is B is D is E {}
class Z is K1 is K3 is K2 {}
say Z.^mro; # OUTPUT: ((Z) (K1) (C) (K3) (A) (K2) (B) (D) (E) (Any) (Mu))
(les Any et Mu sont les types dont tous les objets Raku héritent)
Références
- (en) Kim Barrett, Bob Cassels, Paul Haahr, David A. Moon, Keith Playford, P. Tucker Withington « A Monotonic Superclass Linearization for Dylan » () (DOI 10.1145/236337.236343)
— « (ibid.) », dans OOPSLA '96 Conference Proceedings, ACM Press (ISBN 0-89791-788-X), p. 69–82 - News item on opendylan.org
- Dylan Enhancement Proposal 3: C3 superclass linearization
- Python 2.3's use of C3 MRO
- Tutorial for practical applications of C3 linearization using Python
- Perl 6's use of the C3 MRO
- « Parrot uses C3 MRO » [archive du ] (consulté le )
- Till Tantau, The TikZ & PGF Manual, 3.1.9a, (lire en ligne), p. 1062
- C3 MRO available in Perl 5.10 and newer
- Perl 5 extension for C3 MRO on CPAN
- van Rossum, « Method Resolution Order », The History of Python, (consulté le )
- Portail de la programmation informatique