Peracide
Un peracide, acide peroxycarboxylique ou encore acide peroxylique, est une molécule comportant un groupement peroxyde (deux atomes d'oxygène liés par une liaison simple) pour lequel un oxygène est lié à un hydrogène, l'autre étant lié à un carbone substitué par un oxygène avec lequel il forme une double liaison (ou groupement carbonyle).

Structure d'un peracide
Réactivité
La réactivité des peracides repose sur le fait que la liaison entre les deux atomes d'oxygène voisins est facile à briser.
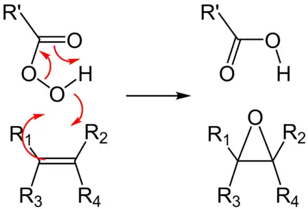
Synthèse d'époxydes
Les peracides sont utilisés pour la synthèse d'époxydes, par action sur un alcène.

Oxydation de Baeyer-Villiger
Cette réaction permet, grâce à un réarrangement, d'oxyder une fonction cétone en fonction ester.
Cet article est issu de Wikipedia. Le texte est sous licence Creative Commons – Attribution – Partage à l’identique. Des conditions supplémentaires peuvent s’appliquer aux fichiers multimédias.