Phtalimide
Le phtalimide est un imide aromatique, c'est-à-dire un composé organique avec deux groupements carbonyle liés à un atome d'azote trigonal. C'est l'imide de l'acide benzène-1,2-dicarboxylique (acide phtalique).
| Phtalimide | ||
| ||
| ||
| Structure et représentation du phtalimide | ||
| Identification | ||
|---|---|---|
| Nom UICPA | benzène-1,2-dicarboximide | |
| No CAS | ||
| No ECHA | 100.001.458 | |
| No CE | 201-603-3 | |
| SMILES | ||
| InChI | ||
| Apparence | solide blanc | |
| Propriétés chimiques | ||
| Formule | C8H5NO2 [Isomères] |
|
| Masse molaire[1] | 147,130 8 ± 0,007 6 g/mol C 65,31 %, H 3,43 %, N 9,52 %, O 21,75 %, |
|
| pKa | 8,3 | |
| Propriétés physiques | ||
| T° fusion | 238 °C [2] | |
| T° ébullition | 336 °C (sublimation) | |
| Solubilité | 360 mg·L-1 (eau, 25 °C)[2] 0,6 g·L-1 (eau) [3] |
|
| Masse volumique | 1,21 g·cm-3 à 20 °C [3] | |
| Point d’éclair | 165 °C DIN 51758[3] | |
| Écotoxicologie | ||
| LogP | 1,15 [2] | |
| Composés apparentés | ||
| Autres composés |
maleimide (amides) et anhydride phtalique |
|
| Unités du SI et CNTP, sauf indication contraire. | ||
Propriétés
Le phtalimide est un solide blanc cristallisé à température ambiante. Il est pratiquement insoluble dans l'eau froide, très peu soluble dans le benzène et l'éther de pétrole, et assez soluble dans l'éthanol chaud, l'acide éthanoïque et les bases concentrées.
Obtention
Le phtalimide est obtenu par réaction à chaud de l'anhydride phtalique avec l'ammoniac en solution aqueuse[4].

Réactivité
Réaction de Gabriel
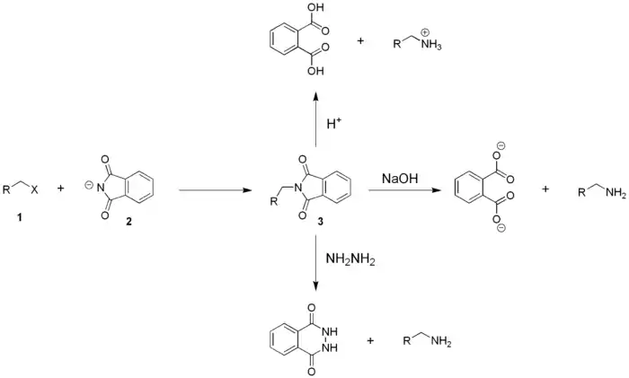
La principale réaction utilisant le phtalimide est la synthèse de Gabriel des amines primaires. Cette réaction porte le nom du chimiste allemand Siegmund Gabriel, qui l'a mise au point[5].
Cette réaction permet aussi de synthétiser des acides α-aminés à partir du phtalimide et de l'acide α-bromé correspondant :
Réarrangement d'Hofmann
L'action de l'ion hypochlorite en solution aqueuse conduit, par réarrangement d'Hofmann, à la formation de l'acide anthranilique, précurseur dans la synthèse de l'indigo.
Cinétique environnementale
Cette question a une importance écotoxicologique car le phtalimide est l'un des principaux produits de dégradation de certains pesticides fongicides dont le folpet[6].
On a expérimentalement montré que le Phtalimide est stable à 25 °C et pH 4 et à ph 7, mais qu'en condition alcaline (pH 9) il est rapidement hydrolysé (avec une demi-vie de 2 heures)[6].
Utilisations
Le phtalimide est utilisé comme produit phytopharmaceutique, en synthèse organique, en recherche et dans l'industrie des matières plastiques.
Dans la nature
La kladnoïte est un minéral naturel analogue au phtalimide. Il est assez rare, et se rencontre sur des sites d'incendie de charbon.
Références
- Masse molaire calculée d’après « Atomic weights of the elements 2007 », sur www.chem.qmul.ac.uk.
- (en) « Phtalimide », sur ChemIDplus, consulté le 29 juin 2009
- Entrée « Phthalimide » dans la base de données de produits chimiques GESTIS de la IFA (organisme allemand responsable de la sécurité et de la santé au travail) (allemand, anglais), accès le 29 juin 2009 (JavaScript nécessaire)
- Arun Sethi, Systematic Lab Experiments in Organic Chemistry, 2003, éd. New Age International (ISBN 978-81-224-1491-2), p. 659
- S. Gabriel, S. Ber. 20, 2224 (1887)
- EFSA (2009), Conclusion regarding the peer review of the pesticide risk assessment of the active substance folpet (Question No EFSA-Q-2009-605) EFSA Scientific Report (2009) 297, 1-80 : document de réévaluation publiée en 2009 remplaçant celui du 24 April 2006 (EFSA Scientific Report, 2006) PDF, 80 pp
Vogel's Textbook of Practical Organic Chemistry (Longman).



