Pietro Biginelli
Pietro Biginelli ( – ) était un chimiste italien qui a découvert une réaction a trois composantes entre l'urée, l'acétoacétate d'éthyle et un aldéhyde aromatique, qui porte aujourd'hui son nom, la réaction de Biginelli. Il a également étudié divers aspects portant sur des implications de la chimie dans l'amélioration de l'hygiène et sur le contrôle de qualité des produits chimiques.
Biographie
Né le à Palazzolo Vercellese, ville qui faisait alors partie du Royaume de Piémont-Sardaigne, de parents boulangers. C'est probablement grâce à son influent oncle Luigi Biginelli qu'il entre à l'Université de Turin en 1181. Il travaille sous la direction du professeur Icilio Guareschi à la polyhalogénation du naphtalène [1]. Il reçoit son diplôme de Chimie et Pharmacie en 1886. Fin 1886 il est nommé "Aiutto a Cattedra" à la faculté des sciences agricoles de Milan où il travaille avec Wilhelm Körner jusqu'en 1890 (recherche sur la fraxetine). En il accepte un autre poste de "Aiutto a Cattedra" à l'Université de Florence, attiré par la possibilité de travailler dans une des plus importantes facultés de chimie d'Italie, avec Hugo Schiff.
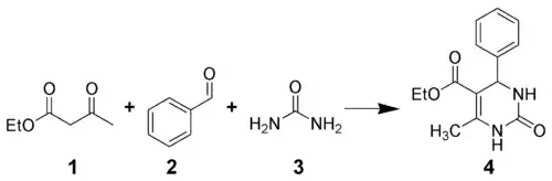
C'est là qu'en 1891, Biginelli développe une méthode qui sera plus tard connue comme la Réaction de Biginelli[2],[3].
En 1897 il était à l'Université de Rome, en tant que Privat-docent[4].
En 1901, Pietro Biginelli, a intégré le laboratoire de chimie de l'Institut Supérieur de Santé de Rome[5]. Entre 1925 et 1928 Biginelli a été le directeur de ce laboratoire.
Il est mort à Rome, le , 1937.
Intérêts scientifiques
Pietro Biginelli est surtout connu pour la réaction organique qui porte aujourd'hui son nom. Cette réaction possède des applications pharmaceutiques. Il s'agit d'une réaction multi-composantes, c'est-à-dire qu'un nombre de réactifs supérieur à 2 (3 dans le cas présent) est assemblé en une seule réaction avec la création et la rupture de multiples liaisons. Ce type de réactions permet de réaliser des synthèses chimiques en un nombre limité d'étapes, ce qui est intéressant écologiquement et économiquement

Dans la deuxième partie de sa carrière, il s'est intéressé à divers aspects en chimie analytique avec des implications tels que la découverte de la structure du tannin ou l'étude de dérivés de la quinine.
Références et notes
- (en) Cet article est partiellement ou en totalité issu de l’article de Wikipédia en anglais intitulé « Pietro Biginelli » (voir la liste des auteurs).
- DOI 10.1002/ejoc.201100661
- (de) Biginelli, P. Ber. 1891, 24, 1317 & 2962.
- (de) Biginelli, P. Ber. 1893, 26, 447.
- (it) Ludtke G. Minerva, 1897, p. ?
- (it) Istituto Superiore di Sanitа. Microanalisi elementare organica. Collezione di strumenti a cura di Anna Farina e Cecilia Bedetti. 2007, I beni storico-scientifi ci dell’Istituto Superiore di Sanitа, p 25
- Portail de la chimie