Polymérisation cationique
La polymérisation cationique est un type de polymérisation ionique dans lequel le centre actif est de nature cationique (ions libres, liaison polarisée ou paire d'ions). Elle est constituée de l'amorçage, la propagation, éventuellement de transfert et de terminaison. Les monomères concernés sont ceux qui possèdent des groupes électro-donneurs.

Amorçage et propagation
L'amorçage se fait souvent avec un acide. Des acides de Brønsted comme l'acide sulfurique ou triflique peuvent être utilisés, ainsi que des acides de Lewis, éventuellement en présence d'un coamorceur, tel AlCl3 ou TiCl4.
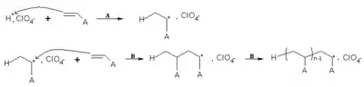
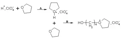
Voici deux exemples de mécanisme d'amorçage suivi de la propagation :


L'amorçage conduit à la création d'une charge positive sur le monomère. La charge positive est propagée par assemblage successif de monomères en extrémité de chaîne, ce qui entraine la croissance de la chaîne.
Transfert et terminaison

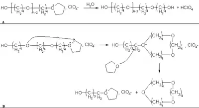
Le transfert de chaîne peut se faire avec le solvant, le monomère, le polymère (réactions parasites) ou avec un agent de transfert introduit pour par exemple diminuer la longueur des chaînes. La terminaison conduit à l'arrêt de la croissance de la chaîne sans que la croissance d'une autre chaîne n'ait lieu en conséquence (contrairement au transfert).