Stanislao Cannizzaro
Biographie
En 1844, il entre à l'université de Palerme dans l'intention d'étudier la médecine, mais il ne tarde pas à se tourner vers la chimie. En 1845 et 1846, il travaille comme assistant de Raffaele Piria (1815-1865), connu pour ses travaux sur la salicine[1].
Pendant la révolution de 1848 en Sicile, il sert comme officier d'artillerie à Messine et comme député de Francavilla di Sicilia au parlement sicilien. À la chute de Messine, en septembre 1848, il est stationné à Taormine. L'effondrement des insurgés le pousse à s'enfuir à Marseille en mai 1849. Il visite ensuite plusieurs villes françaises pour atteindre Paris en octobre. Cannizzaro est introduit dans le laboratoire d'Eugène Chevreul, où, en collaboration avec François Stanislas Cloëz (1817-1883)[2], il fait sa première contribution en chimie quand ils préparent du cyanamide par l'action d'ammoniac sur du chlorure de cyanogène dans une solution d'éther. Il y suit les cours de Regnault au Collège de France.

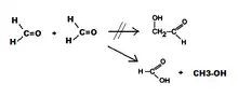
La même année, il est engagé comme professeur de chimie physique au Collège national d'Alexandrie. Il y découvre que les aldéhydes aromatiques sont décomposés par une solution d'hydroxyde de potassium en un mélange d'acide et d'alcool, par exemple le benzaldéhyde en alcool benzylique et en benzoate. Cette réaction est appelée réaction de Cannizzaro.
À l'automne 1855, il devient professeur de chimie à l'université de Gênes, puis à Pise et Naples, pour enfin obtenir un poste de professeur chimie organique et inorganique à l'université La Sapienza de Rome.
À côté de son travail en chimie organique, qui inclut aussi des recherches sur la santonine[3], un vermifuge extrait des fleurs de certaines espèces d'armoise, il s'intéresse aussi à la philosophie de la chimie dans son mémoire Sunto di un corso di Filosofia chimica (1858). Il y insiste sur la distinction, précédemment émise par Amedeo Avogadro sous forme d'hypothèse, entre le poids moléculaire et atomique et montre comment le poids atomique des éléments contenus dans des composés volatils peut être déduit de la connaissance de leur chaleur spécifique et comment le poids atomique des composés dont la densité de vapeur est inconnue peut aussi être déduite de la chaleur spécifique. Ce travail d'une importance fondamentale pour la théorie atomique de la chimie lui vaut la médaille Copley en 1891 ainsi qu'une place de sénateur au sénat italien, et Mendeleïev le considère pour cela comme son précurseur[4]. Cannizzaro est devenu membre étranger de la Royal Society le .
Œuvres et publications

- Sunto di un corso di filosofia chimica, Genova, 1858
- (en) Sketch of a course of chemical philosophy, Edinburgh, Livingstone, (lire en ligne)
- Scritti intorno alla teoria molecolare ed atomica ed alla notazione chimica, "Lo Statuto" (Palermo), 1896, lire en ligne sur Gallica.
- Scritti vari e lettere inedite nel centenario della nascita, Roma, 1926
Notes et références
- Salicine
- Stanislas Cloëz Texte intégral in: Lestel L. (coordonnateur) Itinéraire de chimistes, 1857-2007,EDP Sciences, Paris,2007, p.87-90.
- Santonine
- « Le système Mendeleïev », Courrier international, no 1483, 4-10 avril 2019, p. 38-39.
Sources
(en) « Stanislao Cannizzaro », dans Encyclopædia Britannica , (lire sur Wikisource).- (en) Zingales R.: Stanislao Cannizzaro and the Development of Chemistry in Palermo from 1862 to 1871., in Chemistry, Special Issue: 100th Anniversary of SCI, Volume 15, Issue 32, pages 7760–7773, August 10, 2009.
- (it) Stanislao Cannizzaro, in Gianfranco Scorrano : La chimica italiana, Padoue, 2008, p. 21-23.
- Stanislas Cannizzero. Nécrologie, in : in :L'Année scientifique et industrielle : ou Exposé annuel des travaux scientifiques, des inventions et des principales applications de la science à l'industrie et aux arts, qui ont attiré l'attention publique en France et à l'étranger, par Louis Figuier, Librairie de L. Hachette et Cie (Paris), 1857-1914, p. 379. lire en ligne sur Gallica
- (it) Stanislao Cannizzaro : scritti vari e lettere inedite nel centenario della nascita par l'Associazione italiana di chimica generale ed applicata, Tip. Leonardo da Vinci (Roma), 1926 , lire en ligne sur Gallica.
- Ressources relatives à la vie publique :
- Ressource relative à la recherche :
- Notices dans des dictionnaires ou encyclopédies généralistes :
- Britannica
- Brockhaus
- Den Store Danske Encyklopædi
- Deutsche Biographie
- Dizionario biografico degli italiani
- Enciclopedia italiana
- Enciclopedia De Agostini
- Gran Enciclopèdia Catalana
- Hrvatska Enciklopedija
- Nationalencyklopedin
- Proleksis enciklopedija
- Store norske leksikon
- Treccani
- Universalis
- Visuotinė lietuvių enciklopedija
- Portail de la chimie
- Portail du XIXe siècle
- Portail de la Sicile
- Portail de l’Italie