Sulfate d'héparane
Le sulfate d'héparane (ou héparane sulfate) est un polysaccharide présent dans le milieu extracellulaire des tissus animaux.

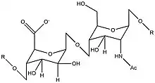
L'unité de base de l'héparane sulfate est un acide D-Glucuronique ou un acide L-Iduronique relié par une liaison α 1-4 à une glucosamine. La liaison entre les disaccharides est de type α 1-4 si la composition implique l'acide L-Iduronique, et β 1-4 pour l'acide D-Glucuronique.
Il s'attache à des protéoglycanes et se retrouve à la surface des cellules ou dans la matrice extracellulaire[1].
Enjeux médicaux
- L'héparane sulfate est une molécule qui permet au virus du VIH de se lier aux spermatozoïdes[2].
- Chez les patients atteints de la Maladie d'Alzheimer les agrégats de protéine Tau (anormalement hyperphosphorylée) (et/ou les plaques bêta amyloïdes) apparaissent au même endroit que des héparanes sulfates. Une forme simple d'héparane sulfate, l'héparine est apparue être un facteur essentiel dans l'hyperphosphorylation de la protéine Tau et donc dans la maladie d’Alzheimer[3].
Chez le modèle animal (poisson zèbre) inhiber la sulfatation des héparanes peut réduire l'hyperphosphorylation des protéines Tau. Une piste médicamenteuse à l'étude est donc de bloquer la synthèse de cette sorte d'héparane sulfate chez les patients pour réduire la progression de la maladie d’Alzheimer[4].
Notes et références
- Sarrazin S, Lamanna WC, Esko JD, Heparan sulfate proteoglycans, Cold Spring Harb Perspect Biol, 2011;3:pii: a004952
- http://www.techno-science.net/?onglet=news&news=7186
- JE Sepulveda-Diaz et coll. (2015) HS3ST2 expression is critical for the abnormal phosphorylation of tau in Alzheimer’s disease-related tau pathology. Brain, édition en ligne avancée du 4 avril 2015
- Nouvelle piste contre la maladie d’Alzheimer, Note d'information, Inserm, publiée 20 mai 2015