Cobweb plot of the Gauss map for and . This shows an 8-cycle.

In mathematics, the Gauss map (also known as Gaussian map[1] or mouse map), is a nonlinear iterated map of the reals into a real interval given by the Gaussian function:

where α and β are real parameters.

Named after Johann Carl Friedrich Gauss, the function maps the bell shaped Gaussian function similar to the logistic map.


Properties

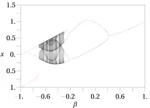
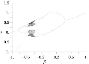
In the parameter real space can be chaotic. The map is also called the mouse map because its bifurcation diagram resembles a mouse (see Figures).


Bifurcation diagram of the Gauss map with and in the range 1 to +1. This graph resembles a mouse.
Bifurcation diagram of the Gauss map with and in the range 1 to +1.

References

  1. Chaos and nonlinear dynamics: an introduction for scientists and engineers, by Robert C. Hilborn, 2nd Ed., Oxford, Univ. Press, New York, 2004.


This article is issued from Wikipedia. The text is licensed under Creative Commons - Attribution - Sharealike. Additional terms may apply for the media files.