Nickel compounds are chemical compounds containing the element nickel which is a member of the group 10 of the periodic table. Most compounds in the group have an oxidation state of +2. Nickel is classified as a transition metal with nickel(II) having much chemical behaviour in common with iron(II) and cobalt(II). Many salts of nickel(II) are isomorphous with salts of magnesium due to the ionic radii of the cations being almost the same. Nickel forms many coordination complexes. Nickel tetracarbonyl was the first pure metal carbonyl produced, and is unusual in its volatility. Metalloproteins containing nickel are found in biological systems.
Nickel forms simple binary compounds with non metals including halogens, chalcogenides, and pnictides. Nickel ions can act as a cation in salts with many acids, including common oxoacids. Salts of the hexaaqua ion (Ni · 6 H2O2+) are especially well known. Many double salts containing nickel with another cation are known. There are organic acid salts. Nickel can be part of a negatively charged ion (anion) making what is called a nickellate. Numerous quaternary compounds (with four elements) of nickel have been studied for superconductivity properties, as nickel is adjacent to copper and iron in the periodic table can form compounds with the same structure as the high-temperature superconductors that are known.
Colour
Most of the common salts of nickel are green due to the presence of hexaaquanickel(II) ion, Ni(H2O)62+.
Geometry
Nickel atoms can connect to surrounding atoms or ligands in a variety of ways. Six coordinated nickel is the most common and is octahedral, but this can be distorted if ligands are not equivalent. For four coordinate nickel arrangements can be square planar, or tetrahedral. Five coordinated nickel is rarer.
Magnetism
Some nickel compounds are ferromagnetic at sufficiently low temperatures. In order to show magnetic properties the nickel atoms have to be close enough together in the solid structure.
Binary compounds
A binary compound of nickel contains one other element. Substances that contain only nickel atoms are not actually compounds.
In a noble gas matrix, nickel can form dimers, a molecule with two nickel atoms: Ni2.[1] Ni2 has a bonding energy of 2.07±0.01 eV. For Ni2+ the bond energy is around 3.3 eV. Nickel dimers and other clusters can also be formed in a gas and plasma phase by shooting a powerful laser at a nickel rod in cold helium gas.[2]
Oxides
Nickel oxides include Nickel(II) oxide and Nickel(III) oxide.
Hydroxides
Nickel hydroxides are used in nickel–cadmium and Nickel–metal hydride batteries. Nickel(II) hydroxide Ni(OH)2, the main hydroxide of nickel is coloured apple green. It is known as the mineral theophrastite. β-NiO(OH) is a black powder with nickel in the +3 oxidation state. It can be made by oxidising nickel nitrate in a cold alkaline solution with bromine. A mixed oxidation state hydroxide Ni3O2(OH)4 is made if oxidation happens in a hot alkaline solution. A Ni4+ hydroxide: nickel peroxide hydrate NiO2 · H2O, can be made by oxidising with alkaline peroxide. It is black, and unstable and oxidises water.
Halides
-chloride-hexahydrate-sample.jpg.webp)
Nickel(II) fluoride NiF2 is yellow, crystallising in the rutile structure and can form a trihydrate, NiF2·3H2O.[3] A tetrahydrate also exists.[4]
Nickel chloride NiCl2 is yellow, crystallising in the cadmium chloride structure. It can form a hexahydrate, NiCl2·6H2O, a tetrahydrate NiCl2·4H2O over 29 °C and a dihydrate, NiCl2·2H2O over 64 °C.[3] Ammine complexes like hexaamminenickel chloride also exist.
Nickel bromide NiBr2 is yellow, also crystallising in the cadmium chloride structure. It can form a hexahydrate, NiBr2·6H2O.[3] Crystallisation above 29° forms a trihydrate NiBr2·3H2O, and a dihydrate NiBr2·2H2O.[5] Nonahydrate, NiBr2·9H2O can crystallise from water below 2 °C.[3] Nickelous hexammine bromide Ni(NH3)6Br2is violet or blue. It is soluble in boiling aqueous ammonia, but is insoluble in cold.[3] Diammine, monoammine, and dihydrazine nickel bromides also exist.[3]
With four bromide atoms nickel(II) forms a series of salts called tetrabromonickelates.
Nickel iodide NiI2 is black, also crystallising in the cadmium chloride structure. It can form a green hexahydrate, NiI2·6H2O.[3] Nickel iodide has a brown diammine NiI2•2NH3 and a bluish-violet hexammine NiI2•6NH3.[3]
Nickel(III) fluoride NiF3
Nickel(IV) fluoride NiF4
Chalcogenides

By reacting nickel with chalcogens, nickel sulfide, nickel selenide, and nickel telluride are formed. There are numerous sulfides: Ni1.5S, Ni17S18, Ni3S2 (heazlewoodite), Ni3S4 (polydymite), Ni9S8 (godlevskite), NiS (millerite) and two other NiS forms, NiS2 (vaesite) in pyrite structure. Black nickel tetrasulfide NiS4 is formed from ammonium polysulfide and nickel in water solution. Mixed and double sulfides of nickel also exist. Nickel with selenium forms several compounds Ni1−xSe 0≤x≤0.15, Ni2Se3, NiSe2 also known as a mineral penroseite.
Nickel forms two different polonides by heating nickel and polonium together: NiPo and NiPo2.[6]
Pnictides

Non-stoichiometric compounds of nickel with phosphorus, arsenic and antimony exist, and some are found in nature. One interstitial nitride has formula Ni3N (hexagonal P6322, Z = 2, a = 4.6224 Å and c = 4.3059 Å).[7] In a solid nitrogen matrix, nickel atoms combine with nitrogen molecules to yield Ni(N2)4.[1]
Nickel phosphide Ni2P has density 7.33 and melts at 1100 °C.[4]
The mineral Nickelskutterudite has formula NiAs2-3, nickeline has formula NiAs and breithauptite has formula NiSb. NiAs melts at 967° and has density 7.77. NiSb melts at 1174°. It has the highest density of a nickel compound at 8.74 g/cm3.[4]
NiAsS gersdorffite, and NiSbS ullmannite, NiAsSe Jolliffeite are pnictide/chalcogenide compounds that occur as minerals.
Other
Nickel also forms carbides and borides. Nickel borides include forms Ni2B (a green/black solid), NiB, Ni3B, o-Ni4B3 and m-Ni4B3.[8]
Nickel hydride NiH is only stable under high pressures of hydrogen.
Nickel silicides include Ni3Si,[9] Ni31Si12, Ni2Si, Ni3Si2, NiSi and NiSi2.[10] Nickel silicides are used in microelectronics.
Diatomic molecules
Hot nickel vapour reacting with other atoms in the gas phase can produce molecules consisting of two atoms. These can be studied by their emission spectrum. The nickel monohalides are well studied.[11][12][13][14][15]
Alloys
Compounds of nickel with other metals can be called alloys. The substances with fixed composition include nickel aluminide (NiAl) melting at 1638° with hexagonal structure.[4] NiY, NiY3, Ni3Y, Ni4Y, NiGd3,[16]
BaNi2Ge2 changes structure from orthorhombic to tetragonal around 480 °C.[17] This is a ternary intermetallic compound. Others include BaNiSn3 and the superconductors SrNi2Ge2, SrNi2P2, SrNi2As2, BaNi2P2, BaNi2As2.[17]
Simple salts
Oxo acid salts

Important nickel oxo acid salts include nickel(II) sulfate can crystallise with six water molecules yielding Retgersite or with seven making Morenosite which is isomorphic to Epsom salts. These contain the hexaquanickel(II) ion.[18] There is also an anhydrous form, a dihydrate and a tetrahydrate, the last two crystallised from sulfuric acid. The hexahydrate has two forms, a blue tetragonal form, and a green monoclinic form, with a transition temperature around 53 °C.[19] The heptahydrate crystallises from water below 31.5 above this blue hexhydrate forms, and above 53.3 the green form.[20] Heating nickel sulfate dehydrates it, and then 700° it loses sulfur trioxide, sulfur dioxide and oxygen. Other important nickel compounds in this class are nickel carbonate, nickel nitrate, and nickel phosphate
Fluoro acid salts
Nickel tetrafluoroborate, Ni(BF4)2 · 6 H2O is very soluble in water, alcohol and acetonitrile. It is prepared by dissolving nickel carbonate in tetrafluoroboric acid.[21][22] Nickel tetrafluoroberyllate NiBeF4•xH2O, can be hydrated with six or seven water molecules.[23] Both nickel hexafluorostannate and nickel fluorosilicate crystallise in the trigonal system.[24] Nickel hexafluorogermanate NiGeF6 has a rosy-tan colour and a hexagonal crystal with a = 5.241 Å unit cell volume is 92.9 Å3. It is formed in the reaction with GeF4 and K2NiF6.[25] Nickel fuorotitanate crystallises in hexagonal green crystals. It can be made by dissolving nickel carbonate, and titanium dioxide in hydrofluoric acid. The crystal dimensions are a = 9.54, c = 9.91 density = 2.09 (measure 2.03).[26]
Ni(AsF6)2, Ni(SbF6)2, Ni(BiF6)2 are made by reacting the hexafluoro acid with NiF2 in hydrofluoric acid.[25] They all have hexagonal crystal structure, resembling the similar salts of the other first row transition metals.[25] For Ni(AsF6)2 a = 4.98, c = 26.59, and V = 571, formula weight Z=3.[25] Ni(SbF6)2 is yellow with a = 5.16Å, c = 27.90Å Z = 3. The structure resembles LiSbF6, but with every second metal along the c axis missing.[27]
Others include the green fluorohafnate NiHfF6 · 6 H2O, and Ni2HfF8 · 12 H2O,[28] NiZrF6 · 6 H2O[29]
Chloroacid salts
Nickel tetrachloroiodate Ni(ICl4)2 can be made by reacting iodine with nickel chloride and chlorine gas. It consists of green needles.[30]
Nitrogen anion salts
Nickel cyanide tetrahydrate Ni(CN)2 · 4 H2O is insoluble in water, but dissolves in aqueous ammonia.[4] It forms double salts with interesting structures.[31]
Nickel azide Ni(N3)2 is a sensitive explosive. It can be made by treating nickel carbonate with hydrazoic acid. Acetone causes the precipitation of the hydrous solid salt, which is green. At 490K it slowly decomposes to nitrogen and nickel metal powder, losing a half of the nitrogen in four hours.[32] Nickel azide is complexed by one azo group when dissolved in water, but in other solvents, the nickel atom can have up to four azo groups attached.[33] Nickel azide forms a dihydrate: Ni(N3)2 · 2 H2O and a basic salt called nickel hydroxy azide Ni(OH)N3.[34]
Nickel amide, Ni(NH2)2 is a deep red compound that contains Ni6 clusters surrounded by 12 NH2 groups.[35] Nickel amide also forms a series of double salts. Other homoleptic nickel amides derived by substituting the hydrogen atoms are Ni[N(C6H5)2]2 (diphenyl) and boryl amides Ni[NBMes2Mes]2 and Ni[NBMes2C6H5]2.[36]
Organic acid salts
Nickel forms many known salts with organic acids. In many of these the ionised organic acid acts as a ligand.
Double salts
Nickel is one of the metals that can form Tutton's salts. The singly charged ion can be any of the full range of potassium, rubidium, cesium, ammonium (), or thallium.[37] As a mineral the ammonium nickel salt, (NH4)2Ni(SO4)2 · 6 H2O, can be called nickelboussingaultite.[38] With sodium, the double sulfate is nickelblödite Na2Ni(SO4)2 · 4 H2O from the blödite family. Nickel can be substituted by other divalent metals of similar sized to make mixtures that crystallise in the same form.[39]
Nickel forms double salts with Tutton's salt structure with tetrafluoroberyllate with the range of cations of ammonia,[40] potassium, rubidium, cesium,[41] and thallium.[42]
Anhydrous salts of the formula M2Ni2(SO4)3, which can be termed metal nickel trisulfates, belong to the family of langbeinites. The known salts include (NH4)2Ni2(SO4)3, K2Ni2(SO4)3 and Rb2Ni2(SO4)3, and those of Tl and Cs are predicted to exist.
Some minerals are double salts, for example Nickelzippeite Ni2(UO2)6(SO4)3(OH)10 · 16H2O which is isomorphic to cobaltzippeite, magnesiozippeite and zinczippeite, part of the zippeite group.[43]
Double hydrides of nickel exist, such as Mg2NiH4.[44]
Ternary chalcogenides
Nickel forms a series of double nickel oxides with other elements, which may be termed "nickelates". There are also many well defined double compounds with sulfur, selenium and tellurium.
Ternary pnictides
Ternary pnictides that contain nickel are metallic and include MgNi2Bi4,[45] SrNi2P2, SrNi2As2, BaNi2P2, and BaNi2As2.[17]
Ternary halides
Nickel can form anions and salts with halogens including the hexafluoronickelates, and tetrafluoronickelates, tetrachloronickelates, tetrabromonickelates and tetraiodonickelates. The subiodide Bi12Ni4I3 is also known.[45]
Polyoxometallates
Nickel can enter into metal oxygen clusters with other high oxidation state elements to form polyoxometalates. These may stabilize higher oxidation states of nickel, or show catalytic properties.
Nonamolybdonickelate(IV), [NiMo9O32]6− can oxidize aromatic hydrocarbons to alcohols.[46]
There is a dark brown heptamolybdonickelate(IV) potassium salt, K2H8NiMo7O28·6H2O.[47]
13-Vanadonickelate(IV) compounds such as K7NiV13O38 · 16 H2O with black octahedral crystals exist. It can be made from isopolyvanadate, with nickel(II) oxidised by peroxydisulfate at a pH around 4.[48] Nickel(IV) heteropolyniobates such as the dark maroon Na12NiNb12O38 · 21 H2O are also known.[49] An alternate orange red hydrate perhaps with 44 water molecules also exists. With nickel-II (tetramethylammonium)6[H3NiNb9O28 · 17 H2O forms a green salt that is very soluble in water, but hardly soluble in ethanol.[50]
H43K14Na6Nb32 Ni10O183 is a nickel-cation-bridged polyoxoniobate which crystallizes in the monoclinic system with cell dimensions a=15.140 b=24.824 c=25.190 Å and β=103.469 and two formulas per unit cell.[51]
Na8Li12[Ni2(P2W15O56)2] · 74 H2O forms a sandwich structure, and Na4Li5[Ni3(OH)3(H2O)3P2W16O59] · 48 H2O is a Wells-Dawson polyoxometalate.[52]
Acidic salts
Nickel hydrofluoride, H5NiF7·6H2O is made by using excess hydrofluoric acid solution on nickel carbonate. It is deep green.[3]
Basic salts
Nickel oxyfluoride Ni4F4O(OH)2 is green.[3]
Nickelous enneaoxydiiodide 9NiO•Nil2 · 15 H2O forms when solutions of nickel iodide are exposed to air and evaporated.[3]
Complexes

Simple complexes of nickel include hexaquonickel(II), yellow tetracyanonickelate [Ni(CN)4]2−, red pentacyanonickelate [Ni(CN)5]3− only found in solution, [Ni(SCN)4]2− and [Ni(SCN)6]4−. Halo- complexes include [NiCl4]2−, [NiF4]2−, [NiF6]4−, [NiCl2(H2O)4] [Ni(NH3)4(H2O)2]2+, [Ni(NH3)6]2+, [Ni(en)3)]2+.[18] Some complexes have fivefold coordination. (tris(N,N-dimethyl-2-aminoethyl)amine); P(o-C6H4SMe)3; P(CH2CH2CH2AsMe2)3.[18]
Other ligands for octahedral coordination include PPh3, PPh2Me and thiourea.[18]
Nickel tetrahedral complexes are often bright blue and 20 times or more intensely coloured than the octahedral complexes.[18] The ligands can include selections of neutral amines, arsines, arsine oxides, phosphines or phosphine oxides and halogens.[18]
Several nickel atoms can cluster together in a compound with other elements to produce nickel cluster complexes. One example where nickel atoms form a square pyramid is a nickel hydride cluster complexed by triphenyl phosphine ligands and bonding a hydrogen atom on each edge. Another example has a square planar Ni4H4 shape in its core.[53]
Nickel bis(dimethylglyoximate), an insoluble red solid is important for gravimetric analysis.
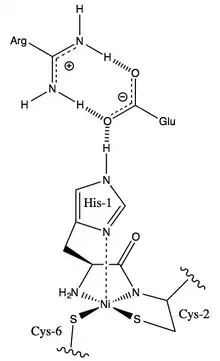
Biological molecules

Cofactor F430 contains nickel in a tetrapyrrole derivative, and is used in the production of methane. Some hydrogenase enzymes contain a nickel-iron cluster as an active site in which the nickel atom is held in place by cysteine or selenocysteine.[54] Plant ureases contain a bis-μ-hydroxo dimeric nickel cluster.[55] CO-methylating acetyl-CoA synthase contains two active nickel atoms, one is held in a square planar coordination by two cysteine and two amide groups, and the other nickel is held by three sulfur atoms. It is used to catalyse the reduction of carbon monoxide to acetyl-CoA.[56]
Nickel superoxide dismutase (or Ni-SOD) from Streptomyces contains six nickel atoms. The nickel holding is done by a "nickel binding hook" which as the amino acid pattern H2N-His-Cys-X-X-Pro-Cys-Gly-X-Tyr-rest of protein, where the bold bits are ligands for the nickel atom.[57]
Nickel transporter proteins exist to move nickel atoms in the cell. in E. coli these are termed NikA, NikB, NikC, NikD, NikE. In order to come through a cell membrane a nickel permease protein is used. In Alcaligenes eutrophus the gene for this is hoxN.[58]
Organometallics
Well known nickel organometalic (or organonickel) compounds include Nickelocene, bis(cyclooctadiene)nickel(0) and nickel tetracarbonyl.[59]
Nickel tetracarbonyl was the first discovered organonickel compound. It was discovered that carbon monoxide corroded a nickel reaction chamber valve. And then that the gas coloured a bunsen burner flame green, and then that a nickel mirror condensed from heating the gas. The Mond process was thus inspired to purify nickel.[60] The nickel tetracarbonyl molecule is tetrahedral, with a bond length for nickel to carbon of 1.82 Å.[60] Nickel tetracarbonyl easily starts breaking apart over 36° forming Ni(CO)3, Ni(CO)2, and Ni.[60] Ni(CO) and NiC appear in mass spectroscopy of nickel carbonyl.[60]
There are several nickel carbonyl cluster anions formed by reduction from nickel carbonyl. These are [Ni2(CO)5]2−, dark red [Ni3(CO)8]2−, [Ni4(CO)9]2−, [Ni5(CO)9]2−, [Ni6(CO)12]2−. Salts such as Cd[Ni4(CO)9] and Li2[Ni3(CO)8]•5acetone can be crystallised.[61]
Mixed cluster carbonyl anions like [Cr2Ni3(CO)16]2−, [Mo2Ni3(CO)16]2− and [W2Ni3(CO)16]2− [Mo<Ni4(CO)14]2− can form salts with bulky cations like tetraethylammonium. The brown [NiCo3(CO)11]− changes to red [Ni2Co4(CO)14]2−.[62]
With oxygen or air the explosive Ni(CO)3O2 can be formed from nickel carbonyl.[63]
Yet other ligands can substitute for carbon monoxide in nickel carbonyl. These lewis base ligands include triphenylphosphine, triphenoxyphosphine, trimethoxyphosphine, tributylphosphine, triethoxyphosphine, triethylisonitrolphosphine, triphenylarsine, and triphenylstibine.
Nickel forms dark blue planar complexes with 1,2-Diimino-3,5-cyclohexadiene or bisacetylbisaniline [(C6H5N-C(CH3)=)2]2Ni. Another planar bis compound of nickel is formed with phenylazothioformamide C6H5N=NC(S)NR2, and dithizone C6H5N=NC(S)NHNHC6H5.[64] tetrasulfur tetranitride when reduced with nickel carbonyl makes Ni[N2S2H]2 also coloured dark violet.[64]
One nickellabenzene is known where nickel substitutes for carbon in benzene. At nickel the plane of the molecule is bent, however the connection to the ring has aromatic character.[65]
Alkoxy compounds
Nickel tert-butoxide Ni[OC(CH3)3]2 is coloured violet. It is formed in the reaction of di-tert-butylperoxide with nickel carbonyl.[60]
Nickel dimethoxide is coloured green.[66] There are also nickel chloride methoxides with formulae: NiClOMe, Ni3Cl2(OMe)4 and Ni3Cl(OMe)5 in which Nickel and oxygen appear to form a cubane-type cluster.[67]
Other alkoxy compounds known for nickel include nickel dipropoxide, nickel di-isopropoxide, nickel tert-amyloxide, and nickel di-tert-hexanoxide.[68] These can be formed by crystallising nickel chloride from the corresponding alcohol, which forms an adduct. This is then heated with a base.[69] Nickel(II) alkoxy compounds are polymeric and non-volatile.[70]
Ziegler catalysis uses nickel as a catalyst. In addition it uses diethylaluminum ethoxide, phenylacetylene and triethylaluminium It converts ethylene into 1-butene. It can dimerise propylene. The catalyst, when combined with optically active phosphines, can produce optically active dimers. An intermediate formed is tris(ethylene)nickel.(CH2=CH2)3Ni in which the ethylene molecules connect to the nickel atom side on.[71]
Homoletptic bimetallic alkoxides have two different metals, and the same alkoxy group. They include Ni[(μ−OMe)3AlOMe]2, Ni[Al(OBut)4]2 (nickel tetra-tert-butoxyaluminate) and Ni[Al(OPri)4]2. (nickel tetra-isopropoxyaluminate a pink liquid)[72] Potassium hexaisoproxynoibate and tantalate can react with nickel chloride to make Ni[Nb(OPri)6]2 and Ni[Ta(OPri)6]2. Ni[Zr2(OPri)9]2 The bimetallic alkoxides are volatile and can dissolve in organic solvents.[73] A trimetallic one exists [Zr2(OPri)9]Ni[Al(OPri)4].[74] NiGe(OBut)8], NiSn(OBut)8] and NiPb(OBut)8] are tricyclic. [Ni2(μ3−OEt)2(μ−OEt)8Sb4(OEt)6]
Heteroleptic bitmetallic ethoxides have more than one variety of alkoxy group, e.g. Ni[(μ−OPri)(μ−OBut)Al(OBut)2]2 which is a purple solid.
Oxoalkoxides contain extra oxygen in addition to the alcohol. With only nickel, none are known, but with antimony an octanuclear molecule exists [Ni5Sb3(μ4−O)2(μ3−OEt)3(−OEt)9(OEt)3(EtOH)4].[75]
Aryloxy compounds
There are many nickel compounds with the formula template Ni(OAr)XL2 and Ni(OAr)2L2. L is a ligand with phosphorus or nitrogen atoms. OAr is a phenol group or O- attached to an aromatic ring. Often an extra molecule of the phenol is hydrogen bonded to the oxygen attached to nickel.[76]
μ-bonded molecules
Others include cyclododecatriene nickel and t-Ni(cdt).
Sulfur rings
Nickel bis-dithiobenzoate can form a violet coloured sodium salt.[60]
Two bisperfluoromethyl-l,2-dithietene molecules react with nickel carbonyl to make a double ring compound with nickel linked to four sulfur atoms. This contains four trifluoromethyl groups and is dark purple. Instead of this methyl or phenyl can substitute. These can be made by substituted acetylenes with sulfur on nickel carbonyl, or on nickel sulfide. Bis-diphenyldithiene nickel has a planar structure[77]
Nickel chalcogen cluster compound
A hexameric compound [Ni(SR)2]6 is produced in the reaction of nickel carbonyl with dialkyl sulfides (RSR).[77]
Nickel can be part of a cubane-type cluster with iron and chalcogens. The metal atoms are arranged in a tetrahedron shape, with the sulfur or selenium making up another tetrahedron that combines to make a cube. For example, the [NiFe3S4(PPh3)(SEt)3]2− is a dianion that has a tetraethyl ammonium salt. Similar ion clusters are [NiFe3Se4(PPh3)(SEt)3]2− and [NiFe3Se4(SEt)4]3−.[78] In the natural world cube shaped metal sulfur clusters can have sulfur atoms that are part of cysteine.
[Ni4Se23]4− has a cube with NiIV4Se4 at its core, and then the nickel atoms are bridge across the cube faces by five Se3 chains and one Se4 chain. It is formed as a tetraethylammonium salt, from Li2Se, Se, NEt4Cl and nickel dixanthate in dimethylformamide as a solvent. This reaction also produces (NEt4)2Ni(Se4)2.[79]
Nitrosyl compounds
When liquid nickel carbonyl is dissolved in liquid hydrogen chloride, it can react with nitrosyl chloride to form a dimer Ni(NOCl)2. This then decomposes to Ni(NO)Cl2, which is polymeric.[60]
Nickel carbonyl reacting with nitric oxide yields blue coloured mononitrosyl nickel NiNO. With cyclohexane as well, pale blue Ni(NO2)NO is produced with nitrous oxide as a side product. With cyclopentadiene as well, π-C5H5NiNO is produced.[60]
See also
References
- 1 2 Barrett, Paul H.; Montano, P. A. (1977). "Proposed iron–nitrogen molecule produced in a solid nitrogen matrix". Journal of the Chemical Society, Faraday Transactions 2. 73 (3): 378–383. doi:10.1039/F29777300378.
- ↑ Lian, Li; Su, C.-X.; Armentrout, P.B. (May 1991). "The bond energy of ". Chemical Physics Letters. 180 (3): 168–172. Bibcode:1991CPL...180..168L. doi:10.1016/0009-2614(91)87135-X.
- 1 2 3 4 5 6 7 8 9 10 11 Mellor, J. W. (1946). "Nickel". A COMPREHENSIVE TREATISE ON INORGANIC AND THEORETICAL CHEMISTRY VOLUME XV Ni Ru, Rh Pd, Os, Ir. Retrieved 17 January 2019.
- 1 2 3 4 5 Haynes, W. M., ed. (2014). CRC Handbook of Chemistry and Physics (95 ed.). CRC Press. pp. 4–77–4–78. ISBN 9781482208672.
- ↑ Nicholls p1126-1127
- ↑ Meyer, R. J. (1974). "Nickel und Polonium". Gmelins Handbuch Der Anorganischen Chemie - Nickel: Teil B — Lieferung 2. Verbindungen bis Nickel-Polonium (in German). Berlin: Springer-Verlag. p. 764. ISBN 9783662133026.
- ↑ Leineweber, Andreas; Jacobs, Herbert; Hull, Steve (November 2001). "Ordering of Nitrogen in Nickel Nitride Determined by Neutron Diffraction". Inorganic Chemistry. 40 (23): 5818–5822. doi:10.1021/ic0104860. PMID 11681891.
- ↑ Robert A. Scott (2011). "Boron: Inorganic Chemistry". Encyclopedia of Inorganic Chemistry. Wiley. p. 401. ISBN 9780470862100.
- ↑ Itahara, Hiroshi; Simanullang, Wiyanti F.; Takahashi, Naoko; Kosaka, Satoru; Furukawa, Shinya (15 April 2019). "Na-Melt Synthesis of Fine Ni3Si Powders as a Hydrogenation Catalyst". Inorganic Chemistry. 58 (9): 5406–5409. doi:10.1021/acs.inorgchem.9b00521. ISSN 0020-1669. PMID 30983337. S2CID 115204460.
- ↑ Dahal, Ashutosh; Gunasekera, Jagath; Harringer, Leland; Singh, Deepak K.; Singh, David J. (July 2016). "Metallic nickel silicides: Experiments and theory for NiSi and first principles calculations for other phases". Journal of Alloys and Compounds. 672: 110–116. arXiv:1602.05840. doi:10.1016/j.jallcom.2016.02.133. S2CID 55434466.
- ↑ Hauffe1, Karl; Puschmann, Herbert (2008). "A26 nickel". Corrosion Handbook. Wiley. pp. NA. doi:10.1002/9783527610433.chb203030. ISBN 978-3527610433.
{{cite book}}: CS1 maint: numeric names: authors list (link) - ↑ Muzangwa, L.G.; Ayles, V.L.; Nyambo, S.; Reid, S.A. (September 2011). "Probing the electronic structure of the nickel monohalides: Spectroscopy of the low-lying electronic states of NiBr and NiCl". Journal of Molecular Spectroscopy. 269 (1): 36–40. Bibcode:2011JMoSp.269...36M. doi:10.1016/j.jms.2011.04.012.
- ↑ Reddy, S Paddi; Rao, P Tiruvenganna (1 February 1960). "The Band Spectra of NiCl and NiBr in the Visible". Proceedings of the Physical Society. 75 (2): 275–279. Bibcode:1960PPS....75..275R. doi:10.1088/0370-1328/75/2/314.
- ↑ Kant, Arthur (1968). "Mass-Spectrometric Studies of the Gaseous Systems Au-Ni, Au-Co, and Au-Fe, and Dissociation Energies of AuNi, AuCo, and AuFe". Journal of Chemical Physics. 49 (11): 5144–5146. Bibcode:1968JChPh..49.5144K. doi:10.1063/1.1670012.
- ↑ Krishnamurty, V. G. (16 April 1952). "The Complex Band Spectrum of Nickel Bromide (NiBr)". Indian Journal of Physics. Indian Association for the Cultivation of Science. 26: 429. hdl:10821/1696. ISSN 0973-1458.
- ↑ "Кристаллические структуры соединений Ni". www.kipt.kharkov.ua.
- 1 2 3 Hlukhyy, Viktor; Trots, Dmytro; Fässler, Thomas F. (13 January 2017). "First-Order Phase Transition in BaNi2Ge2 and the Influence of the Valence Electron Count on Distortion of the Structure Type". Inorganic Chemistry. 56 (3): 1173–1185. doi:10.1021/acs.inorgchem.6b02190. PMID 28085271.
- 1 2 3 4 5 6 Cotton and Wilkinson (1966). Advanced Inorganic Chemistry: A Comprehensive Treatise. John Wiley & Sons. pp. 878–893.
- ↑ Mellor pp462-465
- ↑ Mellor p 466-467
- ↑ O'Brien, James F.; Reynolds, Warren Lind (November 1967). "Nuclear magnetic resonance study of cobalt and nickel tetrafluoroborates". Inorganic Chemistry. 6 (11): 2110–2111. doi:10.1021/ic50057a041.
- ↑ Ryss, A. I.; Radchenko, I. V. (1966). "X-ray study of aqueous solutions of nickel tetrafluoroborate". Journal of Structural Chemistry. 6 (4): 489–492. doi:10.1007/BF00744813. S2CID 96193596.
- ↑ Rây, Nirmalendu Nath (20 April 1932). "Fluoberyllate und ihre Analogie mit den Sulfaten. II. Fluoberyllate einiger zweiwertiger Metalle". Zeitschrift für anorganische und allgemeine Chemie. 205 (3): 257–267. doi:10.1002/zaac.19322050307.
- ↑ Karnezos, M.; Friedberg, S. A. (August 1978). "FERROMAGNETISM IN AND ". Le Journal de Physique Colloques. 39 (C6): C6–814–C6–815. doi:10.1051/jphyscol:19786362. Retrieved 14 May 2016.
- 1 2 3 4 Chacon, Lisa Carine (December 1997). "The Synthesis, Characterization and Reactivity of High Oxidation State Nickel Fluorides" (PDF). Berkeley California: University of California. Retrieved 27 April 2016.
- ↑ Davidovich, R. L.; Kaidalova, T. A.; Levchishina, T. F. (1971). "X-ray diffraction data for some divalent metal fluorotitanates". Journal of Structural Chemistry. 12 (1): 166–168. doi:10.1007/BF00744565. S2CID 95953256.
- ↑ Christe, Karl O.; Wilson, William W.; Bougon, Roland A.; Charpin, Pierrette (January 1987). "Preparation and characterization of ". Journal of Fluorine Chemistry. 34 (3–4): 287–298. doi:10.1016/S0022-1139(00)85173-8.
- ↑ Davidovich, R. L.; Buslaev, Yu. A.; Levchishina, T. F. (March 1968). "Synthesis of some new fluorohafnate complexes". Bulletin of the Academy of Sciences of the USSR Division of Chemical Science. 17 (3): 676. doi:10.1007/BF00911649.
- ↑ Karnezos, M.; Meier, D.; Friedberg, S. A. (9–12 December 1975). "Magnetic ordering in ". AIP Conference Proceedings. 29: 505. Bibcode:1976AIPC...29..505K. doi:10.1063/1.30416.
- ↑ Weinland, R. F.; Schlegelmilch, Fr. (7 March 1902). "Über Doppelsalze des Jodtrichlorids mit Chloriden zweiwertiger Metalle". Zeitschrift für anorganische Chemie. 30 (1): 134–143. doi:10.1002/zaac.19020300109.
- ↑ Hibble, Simon J.; Chippindale, Ann M.; Pohl, Alexander H.; Hannon, Alex C. (17 September 2007). "Surprises from a Simple Material—The Structure and Properties of Nickel Cyanide". Angewandte Chemie International Edition. 46 (37): 7116–7118. doi:10.1002/anie.200701246. PMID 17683027.
- ↑ Sood, R. K.; Nya, A. E.; Etim, E. S. (December 1981). "Thermal decomposition of nickel azide". Journal of Thermal Analysis. 22 (2): 231–237. doi:10.1007/BF01915269. S2CID 95478362.
- ↑ Abu-Eittah, R.; Elmakabaty, S. (1973). "Spectra of Nickel(II)-Azide Complexes in Organic Solvents". Bulletin of the Chemical Society of Japan. 46 (11): 3427–3431. doi:10.1246/bcsj.46.3427.
- ↑ IROM, I I (1 January 2001). "Photolysis of nickel hydroxy azide". Global Journal of Pure and Applied Sciences. 7 (1): 73–80. doi:10.4314/gjpas.v7i1.16208.
- ↑ Tenten, A.; Jacobs, H. (June 1991). "Isolierte -Einheiten in Nickel(II)-Amid". Journal of the Less Common Metals. 170 (1): 145–159. doi:10.1016/0022-5088(91)90060-H.
- ↑ Lappert, Michael (2009). Metal amide chemistry. Chichester, U.K.: Wiley. pp. 172–173. ISBN 9780470721841.
- ↑ Wang, Xia; Xinxin Zhuang; Genbo Su; Youping He (2008). "A new ultraviolet filter: (RNSH) single crystal" (PDF). Optical Materials. 31 (2): 233–236. Bibcode:2008OptMa..31..233W. doi:10.1016/j.optmat.2008.03.020. ISSN 0925-3467.
- ↑ "Nickelboussingaultite: Nickelboussingaultite mineral information and data". www.mindat.org. Retrieved 3 May 2016.
- ↑ "Nickelblödite: Nickelblödite mineral information and data". www.mindat.org. Retrieved 4 May 2016.
- ↑ Montgomery, H. (15 September 1980). "Diammonium nickel bis(tetrafluoroberyllate)hexahydrate". Acta Crystallographica Section B. 36 (9): 2121–2123. doi:10.1107/S0567740880008060.
- ↑ Rây, Nirmalendunath (18 April 1936). "Fluoberyllate und ihre Analogie mit Sulfaten. IV. Doppelsalze mit Rubidium- und Cäsiumfluoberyllaten". Zeitschrift für anorganische und allgemeine Chemie (in German). 227 (1): 32–36. doi:10.1002/zaac.19362270105.
- ↑ Bose, A.; Mitra, S. C.; Datta, S. K. (11 November 1958). "The Behaviour of the Paramagnetic Ions in the Single Crystals of Some Similarly Constituted Salts of the Iron Group of Elements. II. Hydrated NiFormula Salts". Proceedings of the Royal Society A. 248 (1253): 153–168. Bibcode:1958RSPSA.248..153B. doi:10.1098/rspa.1958.0236. S2CID 98423115.
- ↑ "Nickelzippeite: Nickelzippeite mineral information and data". www.mindat.org. Retrieved 10 May 2016.
- ↑ Reilly, James J.; Wiswall, Richard H. (November 1968). "Reaction of hydrogen with alloys of magnesium and nickel and the formation of ". Inorganic Chemistry. 7 (11): 2254–2256. doi:10.1021/ic50069a016.
- 1 2 Hertz, Mary B.; Baumbach, Ryan E.; Latturner, Susan E. (15 January 2020). "Flux Synthesis of MgNi2Bi4 and Its Structural Relationship to NiBi3". Inorganic Chemistry. 59 (6): 3452–3458. doi:10.1021/acs.inorgchem.9b03196. PMID 31939654. S2CID 210814692.
- ↑ Bhattacharya, Santanu; Saha, Basudeb; Dutta, Amitava; Banerjee, Pradyot (March 1998). "Electron transfer reactions of nickel(III) and nickel(IV) complexes". Coordination Chemistry Reviews. 170 (1): 47–74. doi:10.1016/S0010-8545(98)00065-4.
- ↑ Roy, Ajoy; Chaudhury, Muktimoy (September 1983). "A New Series of Heptamolybdonickelate(IV) and Manganate(IV). Investigation of the Unusual Magnetic and Electronic Spectral Behavior of the Nickel(IV) Compound". Bulletin of the Chemical Society of Japan. 56 (9): 2827–2830. doi:10.1246/bcsj.56.2827.
- ↑ George B. Kauffman; Russell Fuller; James Felser; Charles M. Flynn Jr.; Michael T. Pope (1974). Parshall, George W. (ed.). 13‐Vanadomanganate(IV) and Nickelate(IV). Inorganic Syntheses. Vol. 15. pp. 103–110. doi:10.1002/9780470132463.ch24. ISBN 0070485216.
- ↑ Flynn, Charles M.; Stucky, Galen D. (February 1969). "Heteropolyniobate complexes of manganese(IV) and nickel(IV)". Inorganic Chemistry. 8 (2): 332–334. doi:10.1021/ic50072a029.
- ↑ Son, Jung-Ho; Ohlin, C. André; Casey, William H. (2013). "Highly soluble iron- and nickel-substituted decaniobates with tetramethylammonium countercations". Dalton Transactions. 42 (21): 7529–33. doi:10.1039/C3DT50887K. PMID 23588819.
- ↑ Liang, Zhijie; Zhang, Dongdi; Wang, Haiying; Ma, Pengtao; Yang, Zongfei; Niu, Jingyang; Wang, Jingping (2016). "The aggregate: a perspective on isopolyniobates as ligands". Dalton Trans. 45 (41): 16173–16176. doi:10.1039/C6DT02575G. PMID 27711767.
- ↑ Guo, Weiwei; Lv, Hongjin; Bacsa, John; Gao, Yuanzhe; Lee, Je Seong; Hill, Craig L. (19 January 2016). "Syntheses, Structural Characterization, and Catalytic Properties of Di- and Trinickel Polyoxometalates". Inorganic Chemistry. 55 (2): 461–466. doi:10.1021/acs.inorgchem.5b01935. PMID 26479899.
- ↑ Shoshani, Manar M.; Beck, Robert; Wang, Xiaoping; McLaughlin, Matthew J.; Johnson, Samuel A. (15 November 2017). "Synthesis of Surface-Analogue Square-Planar Tetranuclear Nickel Hydride Clusters and Bonding to μ4-NR, -O and -BH Ligands". Inorganic Chemistry. 57 (5): 2438–2446. doi:10.1021/acs.inorgchem.7b02546. PMID 29140692.
- ↑ Greening, C.; Berney, M.; Hards, K.; Cook, G. M.; Conrad, R. (3 March 2014). "A soil actinobacterium scavenges atmospheric using two membrane-associated, oxygen-dependent [NiFe] hydrogenases". Proceedings of the National Academy of Sciences. 111 (11): 4257–4261. Bibcode:2014PNAS..111.4257G. doi:10.1073/pnas.1320586111. PMC 3964045. PMID 24591586.
- ↑ Karplus PA, Pearson MA, Hausinger RP (1997). "70 years of crystalline urease: What have we learned?". Accounts of Chemical Research. 30 (8): 330–337. doi:10.1021/ar960022j.
- ↑ EVANS, D (August 2005). "Chemistry relating to the nickel enzymes CODH and ACS". Coordination Chemistry Reviews. 249 (15–16): 1582–1595. doi:10.1016/j.ccr.2004.09.012.
- ↑ Wuerges, J.; Lee, J.-W.; Yim, Y.-I.; Yim, H.-S.; Kang, S.-O.; Carugo, K. D. (1 June 2004). "Crystal structure of nickel-containing superoxide dismutase reveals another type of active site". Proceedings of the National Academy of Sciences. 101 (23): 8569–8574. Bibcode:2004PNAS..101.8569W. doi:10.1073/pnas.0308514101. PMC 423235. PMID 15173586.
- ↑ Cammack, Richard; Vliet, Pieter (1999). "Catalysis by Nickel in Biological Systems". In Reedijk, Jan; Bouwman, Elisabeth (eds.). Bioinorganic Catalysis (2 ed.). New York: Marcel Dekker. p. 233. ISBN 0-8247-0241-7.
- ↑ Jolly, P. W.; Wilke, G. (1975). The organic chemistry of nickel. Vol. 2. New York: Academic Press. ISBN 0-12-388402-0.
- 1 2 3 4 5 6 7 8 Jolly, P. W.; Wilke, G. (1974). The organic chemistry of nickel. Vol. 1. New York: Academic Press. pp. 1–9. ISBN 0-12-388401-2.
- ↑ Jolly, P. W.; Wilke, G. (1974). The organic chemistry of nickel. Vol. 1. New York: Academic Press. pp. 20–22. ISBN 0-12-388401-2.
- ↑ Jolly, P. W.; Wilke, G. (1974). The organic chemistry of nickel. Vol. 1. New York: Academic Press. pp. 23–24. ISBN 0-12-388401-2.
- ↑ Jolly, P. W.; Wilke, G. (1974). The organic chemistry of nickel. Vol. 1. New York: Academic Press. p. 16. ISBN 0-12-388401-2.
- 1 2 Jolly, P. W.; Wilke, G. (1974). The organic chemistry of nickel. Vol. 1. New York: Academic Press. p. 19. ISBN 0-12-388401-2.
- ↑ Wright, L. James (2017). Metallabenzenes: An Expert View. John Wiley & Sons. p. 97. ISBN 9781119068099.
- ↑ Bradley], D.C. (2001). Alkoxo and aryloxo derivatives of metals. San Diego: Academic Press. p. 97. ISBN 0-12-124140-8.
- ↑ Bradley, Don C.; Mehrotra, R. C.; Rothwell, Ian; Sin, A. (2001). Alkoxo and aryloxo derivatives of metals. San Diego: Academic Press. p. 100. ISBN 978-0-12-124140-7.
- ↑ Bradley, Don C.; Mehrotra, R. C.; Rothwell, Ian; Sin, A. (2001). Alkoxo and aryloxo derivatives of metals. San Diego: Academic Press. p. 11. ISBN 978-0-12-124140-7.
- ↑ Bradley, Don C.; Mehrotra, R. C.; Rothwell, Ian; Sin, A. (2001). Alkoxo and aryloxo derivatives of metals. San Diego: Academic Press. p. 19. ISBN 978-0-12-124140-7.
- ↑ Bradley, Don C.; Mehrotra, R. C.; Rothwell, Ian; Sin, A. (2001). Alkoxo and aryloxo derivatives of metals. San Diego: Academic Press. p. 68. ISBN 978-0-12-124140-7.
- ↑ Jolly, P. W.; Wilke, G. (1975). The organic chemistry of nickel. Vol. 2. New York: Academic Press. p. 3. ISBN 0-12-388402-0.
- ↑ Bradley, Don C.; Mehrotra, R. C.; Rothwell, Ian; Sin, A. (2001). Alkoxo and aryloxo derivatives of metals. San Diego: Academic Press. p. 208. ISBN 978-0-12-124140-7.
- ↑ Bradley, Don C.; Mehrotra, R. C.; Rothwell, Ian; Sin, A. (2001). Alkoxo and aryloxo derivatives of metals. San Diego: Academic Press. pp. 185–192. ISBN 978-0-12-124140-7.
- ↑ Bradley, Don C.; Mehrotra, R. C.; Rothwell, Ian; Sin, A. (2001). Alkoxo and aryloxo derivatives of metals. San Diego: Academic Press. pp. 215–216. ISBN 978-0-12-124140-7.
- ↑ Bradley, Don C.; Mehrotra, R. C.; Rothwell, Ian; Sin, A. (2001). Alkoxo and aryloxo derivatives of metals. San Diego: Academic Press. pp. 432–433. ISBN 978-0-12-124140-7.
- ↑ Bradley, Don C.; Mehrotra, R. C.; Rothwell, Ian; Sin, A. (2001). Alkoxo and aryloxo derivatives of metals. San Diego: Academic Press. pp. 619–621. ISBN 978-0-12-124140-7.
- 1 2 Jolly, P. W.; Wilke, G. (1974). The organic chemistry of nickel. Vol. 1. New York: Academic Press. pp. 18–19. ISBN 0-12-388401-2.
- ↑ Ciurli, Stefano; Ross, Paul K.; Scott, Michael J.; Yu, Shi Bao; Holm, R. H. (June 1992). "Synthetic nickel-containing heterometal cubane-type clusters with cores (Q=sulfur, selenium)". Journal of the American Chemical Society. 114 (13): 5415–5423. doi:10.1021/ja00039a063.
- ↑ McConnachie, Jonathan M.; Ansari, Mohammad A.; Ibers, James A. (August 1991). "Synthesis and characterization of nickel chalcogenide - anion, a Ni(IV) cubane species". Journal of the American Chemical Society. 113 (18): 7078–7079. doi:10.1021/ja00018a079.
Sources
- Mellor, J. W. (May 1936). "Nickel". A COMPREHENSIVE TREATISE ON INORGANIC AND THEORETICAL CHEMISTRY VOLUME XV Ni Ru, Rh Pd, Os, Ir. Archived from the original on 2017-02-07. Retrieved 31 May 2016. (pages accessible by changing number on url)
- Nichols, David (1975). The chemistry of iron, cobalt and nickel. Oxford: Pergamon Press. ISBN 0080188737.