
Organoberyllium chemistry involves the synthesis and properties of organometallic compounds featuring the group 2 alkaline earth metal beryllium (Be). The area remains understudied, relative to the chemistry of other main-group elements, because although metallic beryllium is relatively unreactive, its dust causes berylliosis and compounds are toxic.[1] Organoberyllium compounds are typically prepared by transmetallation or alkylation of beryllium chloride.[2]
The beryllium functional group in organoberyllium compounds usually serves to coordinate other elements and ligands. Beryllium, one of the smallest atoms on the periodic table, almost always exhibits a +2 oxidation state.[3] The Be2+ cation is characterized by the highest known charge density (Z/r = 6.45), making it one of the hardest cations and a very strong Lewis acid.[4]
Coordination in beryllium can range from a coordination number of two to four.[5] Most common ligands attached to beryllium are halides, hydride (like beryllium borohydride in a three-center two-electron bond), methyl, aryl, and alkyl. Beryllium can form complexes with known organic compounds such as phosphines, N-hetereocyclic carbenes (NHC), cyclic alkyl amino carbenes (CAAC), and β-diketiminates (NacNac).
General characteristics
Organoberyllium chemistry is limited to academic research due to the cost and toxicity of beryllium.
Organoberyllium compounds consist of a beryllium atom with an organic group attached. There are very few reported case of Be(I) and Be(0) oxidation states.[6][7][8] Instead, Be has a +2 oxidation state, and higher charge density than any other group 2 element. Organometallic beryllium compounds are highly reactive strong acids. Beryllium has a high electronegativity compare to other group 2 elements; thus the resulting C-Be bonds are less highly polarized than other C-MII bonds,[9] although the attached carbon still bears a negative dipole moment.
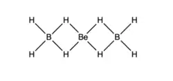
Lighter organoberyllium compounds are often considered covalent, but with some ionic bond characteristics. From this perspective, the C-Be bonds are much more ionic and highly polarized than other C-R bonds. This higher ionic character and bond polarization tends to produce high coordination numbers. Many compounds, particularly dialklys, are polymeric in solid or liquid states with highly complex structures in solution; in the gaseous state, they often revert to monomers. A good example is beryllium borohydride, which dimerizes to form three-center two-electron bonds.

Compounds such as these hydrides can coordinate with carbenes such as N-heterocyclic carbene to form crystals. The propensity for co-crystallization suggests applications in organocatalysis.
Compounds
Beryllium can form a variety of organoberyllium compounds, including ring structures, alkyls, alkynyls,[10] hydrides,[11][12] methyls, halides, phosphines, carbenes, and nitrogen-based coordination such as NacNac.
Dimethylberyllium has the same crystal structure as dimethylmagnesium[13] and can be used to synthesize beryllium azide and beryllium hydride.
Ring structure
Organoberyllium structures can consist of an aryl,[14] dineopentylberyllium,[14] beryllocene,[15][16][17] phenyl,[18] or terphenyl.[19]
Halides
Beryllium halides are formed by a combination of halogen with a beryllium atom. Beryllium halides are mostly covalent in nature except for the fluoride which is more ionic. They can be used as Lewis acid catalysts. Preparation for these compounds varies by the halogen. Beryllium halides are among the most common starting points to form complexes with other types of ligand.[20][2] Halides can donate 2 electrons into the beryllium center with a charge of −1.
Phosphines
Organoberyllium phosphines are another class of compounds that is used in synthesis.[21] Phosphine donates two electrons into the beryllium center. Phosphines are L-type ligands. Unlike most metal ammine complexes, metal phosphine complexes tend to be lipophilic, displaying good solubility in organic solvents. Phosphine ligands are also π-acceptors. Their π-acidity arises from overlap of P-C σ* anti-bonding orbitals with filled metal orbitals. Beryllium can coordinate with a phosphine due to its good π-acceptor ability, which is used extensively in beryllium chemistry literature. An organoberyllium phosphine can be prepared through coordination with a beryllium halide to form a four-coordinate tetrahedral compound.

Carbenes
An organoberyllium carbene consists of a carbene attached to beryllium. The types of carbene includes a N-heterocyclic carbenes (NHC) and cyclic alkyl amino carbenes (CAAC).
N-Hetereocyclic carbenes
Beryllium can coordinate with an N-hetereocyclic carbene (NHC).[22][23][24] NHCs are defined as heterocyclic species containing a carbene carbon and at least one nitrogen atom within the ring structure.[21] NHCs have found numerous applications in some of the most important catalytic transformations in chemical industry, but their reactivity in coordinating with main group elements especially with beryllium’s potential as a reactive organocatalyst has opened new areas of research.[25]

Cyclic alkyl amino carbenes (CAAC)
Beryllium can coordinate with cyclic alkyl amino carbene (CAAC) ligands and can form beryllium radicals which can be present with beryllium complexes (BeR2). A CAAC ligand coordinates a 2 electron -1 charge into the beryllium center.[26] CAAC has an "amino" substituent and an "alkyl" sp3 carbon atom. CAACs are very good σ donors (higher HOMO) and π acceptors (lower LUMO) compared to NHCs. In addition, the lower heteroatom stability of the carbene center in CAAC compared to NHC results in a lower ΔE.

β-Diketiminates (NacNac)
β-Diketiminates (BDI, also known as NacNac), are a commonly used class of supporting ligands that have been successfully adopted to stabilize an extensive range of metal ions from the s, p, d, and f-blocks in multiple oxidation states.[27] The popularity of these monoanionic N-donor ligands can be explained by their convenient access and high stereoelectronic coordination. This enables the separation of highly reactive coordinatively unsaturated complexes. Moreover, studies have demonstrated the utility of this class of ligands for designing active catalysts for various transformations. So, because of that, beryllium can properly coordinate with β-diketiminate compounds due to the high reactivity and stereo electronic coordination with the beryllium thus a Be NacNac compound is also common in organoberyllium chemistry.

Synthesis
Synthesis of organoberyllium compounds is limited but literature have shown that beryllium can react with halides, alkyls, alloxides and other organic compounds. Alkylation of beryllium halide is one of the most widely-used method in beryllium chemistry.[28]
Transmetallation
A transmetallation involves a ligand transfer to one another such as this:
- MR2 + Be → BeR2 + M
M is not limited to any main group and/or transition metal. R can be limited to almost any phosphine, aryl, alkyl, halogen, hydrogen and/or carbene.
In this case organoberyllium can form reactions such as:
A synthesis of a BePh2, which forms a crystal structure from this reaction.
Alkylation
Alkylation of beryllium halide is another common method to react to make an organoberyllium compound such as this:
- 2 MR1 + BeR22 → BeR12 + 2 MR22
M is not limited to any main group and/or transition metal. R1 is not limited to phenyl, methyl, methyl oxide, carbene etc. R2 can be any halide such as fluoride, bromide, iodide, or chloride.
An example of such reaction is the synthesis of bis(cyclopentadienyl)beryllium (Cp2Be) or beryllocene from BeCl2 and potassium cyclopentadienide:
- 2 K[Cp] + BeCl2 → [Cp]2Be + 2 KCl
Low oxidation beryllium chemistry
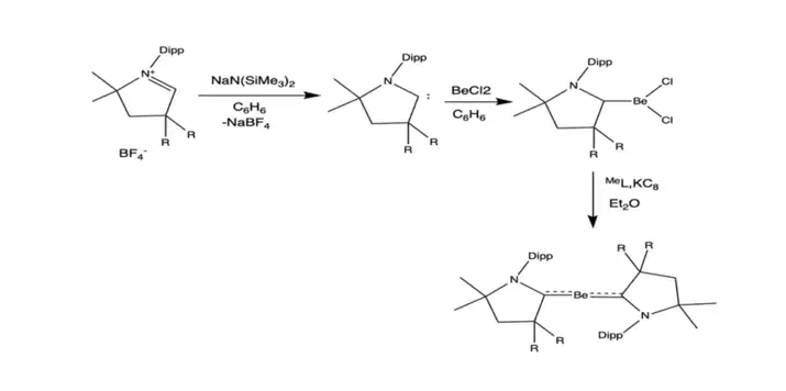
While Be(II) is one of the more common oxidation states, there is also further research on a Be(I) and Be(0) complex. Low-valent main group compounds have recently become desirable synthetic targets due to their interesting reactivity comparable to transition metal complexes. In one work, stabilized cyclic (alkyl)(amino)carbene ligands were used to isolate and characterize the first neutral compounds containing beryllium, with the Be(0) compound stabilized by a strongly σ-donating and π-accepting cyclic CAAC ligand.[29]
Be(I) is another example of a rare phenomenon and few publications were reported, but one example of a Be(I) was a CAAC ligand already coordinated with Be. Gilliard and his group created a more stable beryllium radical cation.[6] Because of well-established challenges concerning the reduction of Be(II) to Be(I), they pursued the radical via an oxidation strategy using TEMPO ((2,2,6,6-Tetramethylpiperidin-1-yl) oxyl). This reaction resulted in a Be(I) compound just by stabilizing the Be radical.
_Complex.png.webp)
See also
References
- ↑ Gad, S. C. (2014-01-01), "Beryllium", in Wexler, Philip (ed.), Encyclopedia of Toxicology (Third Edition), Oxford: Academic Press, pp. 435–437, ISBN 978-0-12-386455-0, retrieved 2022-10-27
- 1 2 Naglav, Dominik; Buchner, Magnus R.; Bendt, Georg; Kraus, Florian; Schulz, Stephan (2016-08-26). "Off the Beaten Track-A Hitchhiker's Guide to Beryllium Chemistry". Angewandte Chemie International Edition. 55 (36): 10562–10576. doi:10.1002/anie.201601809. PMID 27364901.
- ↑ Montero-Campillo, M. Merced; Mó, Otilia; Yáñez, Manuel; Alkorta, Ibon; Elguero, José (2019-01-01), van Eldik, Rudi; Puchta, Ralph (eds.), "Chapter Three - The beryllium bond", Advances in Inorganic Chemistry, Computational Chemistry, Academic Press, vol. 73, pp. 73–121, doi:10.1016/bs.adioch.2018.10.003, S2CID 140062833, retrieved 2022-10-27
- ↑ Buchner, M. R. (2017-01-01), "Beryllium Chemistry", Reference Module in Chemistry, Molecular Sciences and Chemical Engineering, Elsevier, ISBN 978-0-12-409547-2, retrieved 2022-10-27
- ↑ Nembenna, Sharanappa; Sarkar, Nabin; Sahoo, Rajata Kumar; Mukhopadhyay, Sayantan (2022-01-01), Parkin, Gerard; Meyer, Karsten; O’hare, Dermot (eds.), "2.03 - Organometallic Complexes of the Alkaline Earth Metals", Comprehensive Organometallic Chemistry IV, Oxford: Elsevier, pp. 71–241, ISBN 978-0-323-91350-8, retrieved 2022-10-27
- 1 2 Wang, Guocang; Walley, Jacob E.; Dickie, Diane A.; Pan, Sudip; Frenking, Gernot; Gilliard, Robert J. (2020-03-11). "A Stable, Crystalline Beryllium Radical Cation". Journal of the American Chemical Society. 142 (10): 4560–4564. doi:10.1021/jacs.9b13777. ISSN 0002-7863. PMID 32088963. S2CID 211262005.
- ↑ Czernetzki, Corinna; Arrowsmith, Merle; Fantuzzi, Felipe; Gärtner, Annalena; Tröster, Tobias; Krummenacher, Ivo; Schorr, Fabian; Braunschweig, Holger (2021-09-13). "A Neutral Beryllium(I) Radical". Angewandte Chemie International Edition. 60 (38): 20776–20780. doi:10.1002/anie.202108405. ISSN 1433-7851. PMC 8518760. PMID 34263524.
- ↑ Wang, Guocang; Freeman, Lucas A.; Dickie, Diane A.; Mokrai, Réka; Benkő, Zoltán; Gilliard, Robert J. (2019-03-21). "Isolation of Cyclic(Alkyl)(Amino) Carbene–Bismuthinidene Mediated by a Beryllium(0) Complex". Chemistry: A European Journal. 25 (17): 4335–4339. doi:10.1002/chem.201900458. ISSN 0947-6539. PMC 6593863. PMID 30706565.
- ↑ Montero-Campillo, M. Merced; Mó, Otilia; Yáñez, Manuel; Alkorta, Ibon; Elguero, José (2019-01-01), van Eldik, Rudi; Puchta, Ralph (eds.), "Chapter Three - The beryllium bond", Advances in Inorganic Chemistry, Computational Chemistry, Academic Press, vol. 73, pp. 73–121, doi:10.1016/bs.adioch.2018.10.003, S2CID 140062833, retrieved 2022-10-26
- ↑ Morosin, B.; Howatson, J. (1971-05-16). "The crystal structure of dimeric methyl-1-propynyl- beryllium-trimethylamine". Journal of Organometallic Chemistry. 29 (1): 7–14. doi:10.1016/S0022-328X(00)87485-9. ISSN 0022-328X.
- ↑ "Beryllium Hydride - an overview | ScienceDirect Topics". www.sciencedirect.com. Retrieved 2022-11-08.
- ↑ Arrowsmith, Merle; Hill, Michael S.; Kociok-Köhn, Gabriele (2015-02-09). "Activation of N-Heterocyclic Carbenes by {BeH 2 } and {Be(H)(Me)} Fragments". Organometallics. 34 (3): 653–662. doi:10.1021/om501314g. ISSN 0276-7333. S2CID 96288623.
- ↑ Snow, A. I.; Rundle, R. E. (1951-07-02). "The structure of dimethylberyllium". Acta Crystallographica. 4 (4): 348–352. doi:10.1107/S0365110X51001100. hdl:2027/mdp.39015095081207. ISSN 0365-110X.
- 1 2 Ruhlandt-Senge, Karin; Bartlett, Ruth A.; Olmstead, Marilyn M.; Power, Philip P. (1993-04-01). "Synthesis and structural characterization of the beryllium compounds [Be(2,4,6-Me3C6H2)2(OEt2)], [Be{O(2,4,6-tert-Bu3C6H2)}2(OEt2)], and [Be{S(2,4,6-tert-Bu3C6H2)}2(THF)].cntdot.PhMe and determination of the structure of [BeCl2(OEt2)2]". Inorganic Chemistry. 32 (9): 1724–1728. doi:10.1021/ic00061a031. ISSN 0020-1669.
- ↑ Fischer, Ernst Otto; Hofmann, Hermann P. (1959-02-01). "Über Aromatenkomplexe von Metallen, XXV. Di‐cyclopentadienyl‐beryllium". Chemische Berichte. 92 (2): 482–486. doi:10.1002/cber.19590920233. ISSN 0009-2940.
- ↑ Almenningen, Arne; Haaland, Arne; Lusztyk, Janusz (1979-05-08). "The molecular structure of beryllocene, (C5H5)2Be. A reinvestigation by gas phase electron diffraction". Journal of Organometallic Chemistry. 170 (3): 271–284. doi:10.1016/S0022-328X(00)92065-5. ISSN 0022-328X.
- ↑ Wong, C.-H.; Lee, T..-Y.; Chao, K.-J.; Lee, S. (1972-06-15). "Crystal structure of bis(cyclopentadienyl)beryllium at –120°C". Acta Crystallographica Section B: Structural Crystallography and Crystal Chemistry. 28 (6): 1662–1665. doi:10.1107/S0567740872004820. ISSN 0567-7408.
- ↑ Müller, Matthias; Buchner, Magnus R. (2020-08-06). "Diphenylberyllium Reinvestigated: Structure, Properties, and Reactivity of BePh2, [(12‐crown‐4)BePh]+, and [BePh3]−". Chemistry: A European Journal. 26 (44): 9915–9922. doi:10.1002/chem.202000259. ISSN 0947-6539. PMC 7496417. PMID 31957173.
- ↑ Paparo, Albert; Jones, Cameron (2019-02-01). "Beryllium Halide Complexes Incorporating Neutral or Anionic Ligands: Potential Precursors for Beryllium Chemistry". Chemistry: An Asian Journal. 14 (3): 486–490. doi:10.1002/asia.201801800. ISSN 1861-4728. PMID 30604490. S2CID 58632466.
- ↑ Gilman, Henry; Schulze, F. (1927-11-01). "Organoberyllium halides". Journal of the American Chemical Society. 49 (11): 2904–2908. doi:10.1021/ja01410a043. ISSN 0002-7863.
- 1 2 Buchner, Magnus R.; Müller, Matthias; Rudel, Stefan S. (2017-01-19). "Beryllium Phosphine Complexes: Synthesis, Properties, and Reactivity of (PMe 3 ) 2 BeCl 2 and (Ph 2 PC 3 H 6 PPh 2 )BeCl 2". Angewandte Chemie International Edition. 56 (4): 1130–1134. doi:10.1002/anie.201610956. PMID 28004465.
- ↑ Paparo, Albert; Best, Stephen P.; Yuvaraj, K.; Jones, Cameron (2020-12-14). "Neutral, Anionic, and Paramagnetic 1,3,2-Diazaberyllacyles Derived from Reduced 1,4-Diazabutadienes". Organometallics. 39 (23): 4208–4213. doi:10.1021/acs.organomet.0c00017. ISSN 0276-7333. S2CID 213828903.
- ↑ Gilliard, Robert J.; Abraham, Mariham Y.; Wang, Yuzhong; Wei, Pingrong; Xie, Yaoming; Quillian, Brandon; Schaefer, Henry F.; Schleyer, Paul v. R.; Robinson, Gregory H. (2012-06-20). "Carbene-Stabilized Beryllium Borohydride". Journal of the American Chemical Society. 134 (24): 9953–9955. doi:10.1021/ja304514f. ISSN 0002-7863. PMID 22670857.
- ↑ Paparo, Albert; Jones, Cameron (2019-01-03). "Beryllium Halide Complexes Incorporating Neutral or Anionic Ligands: Potential Precursors for Beryllium Chemistry". Chemistry: An Asian Journal. 14 (3): 486–490. doi:10.1002/asia.201801800. ISSN 1861-4728. PMID 30604490. S2CID 58632466.
- ↑ Hopkinson, Matthew N.; Richter, Christian; Schedler, Michael; Glorius, Frank (2014-06-25). "An overview of N-heterocyclic carbenes". Nature. 510 (7506): 485–496. Bibcode:2014Natur.510..485H. doi:10.1038/nature13384. ISSN 1476-4687. PMID 24965649. S2CID 672379.
- ↑ Schuster, Julia K.; Roy, Dipak Kumar; Lenczyk, Carsten; Mies, Jan; Braunschweig, Holger (2019-02-18). "New Outcomes of Beryllium Chemistry: Lewis Base Adducts for Salt Elimination Reactions". Inorganic Chemistry. 58 (4): 2652–2658. doi:10.1021/acs.inorgchem.8b03263. ISSN 0020-1669. PMID 30707568. S2CID 73424673.
- ↑ Camp, Clément; Arnold, John (2016-09-20). "On the non-innocence of "Nacnacs": ligand-based reactivity in β-diketiminate supported coordination compounds". Dalton Transactions. 45 (37): 14462–14498. doi:10.1039/C6DT02013E. ISSN 1477-9234. PMID 27353604.
- ↑ Coates, G. E.; Morgan, G. L. (1971-01-01), Stone, F. G. A.; West, Robert (eds.), Organoberyllium Compounds, Advances in Organometallic Chemistry, vol. 9, Academic Press, pp. 195–257, doi:10.1016/S0065-3055(08)60052-0, ISBN 9780120311095, retrieved 2022-11-08
- ↑ Arrowsmith, Merle; Braunschweig, Holger; Celik, Mehmet Ali; Dellermann, Theresa; Dewhurst, Rian D.; Ewing, William C.; Hammond, Kai; Kramer, Thomas; Krummenacher, Ivo; Mies, Jan; Radacki, Krzysztof; Schuster, Julia K. (2016-06-06). "Neutral zero-valent s-block complexes with strong multiple bonding". Nature Chemistry. 8 (9): 890–894. Bibcode:2016NatCh...8..890A. doi:10.1038/nchem.2542. ISSN 1755-4349. PMID 27334631.

_Complex_Synthesis.png.webp)