![]() | |
| Identifiers | |
|---|---|
CompTox Dashboard (EPA) |
|
| Properties | |
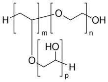
| (C2H4O)m-(C2H4O)n-(C2H4O)p | |
| Molar mass | Variable |
| >30% | |
| Solubility in organic solvents | Insoluble |
Except where otherwise noted, data are given for materials in their standard state (at 25 °C [77 °F], 100 kPa).
Infobox references | |
Polyethylene glycol–polyvinyl alcohol (PEG-PVA) brand name Kollicoat IR (BASF) is a multifunctional excipient[1] used as a pill binder as well as a wet binder. A typical formulation is composed of 25% polyethylene glycol (PEG) and 75% polyvinyl alcohol (PVA); where the vinyl alcohol moieties are grafted on a polyethylene glycol backbone.[2]
See also
References
- ↑ "Kollicoat® IR". BASF Pharma. Retrieved 2022-06-11.
- ↑ Kevin Williams (November 30, 2015). "Polyethylene Glycol-Polyvinyl Alcohol Graft Copolymer: A Peroxide-Free Binder". American Pharmaceutical Review. 18 (7).
This article is issued from Wikipedia. The text is licensed under Creative Commons - Attribution - Sharealike. Additional terms may apply for the media files.
