Ribonucléotide
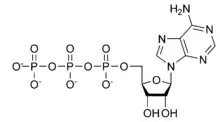
Un ribonucléotide comprend une base nucléique (adénine, guanine, cytosine ou uracile), un ribose et un ou plusieurs groupements phosphates (un à trois). Il peut être retrouvé sous forme libre dans la cellule, notamment en tant qu'ATP (adénosine triphosphate), qui est la forme cellulaire universelle de stockage d'énergie, mais aussi sous forme de GTP, UTP ou CTP. Dans l'ARN (acide ribonucléique), les ribonucléotides sont enchaînés les uns à la suite des autres (par des liaisons dites 5'-3' phosphodiester).

Le plus souvent, dans un ARN, on ne trouve que quatre bases fondamentales : A, G, C et U, mais les ribonucléotides peuvent comporter des bases atypiques, comme la thymine (T, qu'on retrouve généralement dans l'ADN, associée à un désoxyribonucléotide) ou l'inosine (I).
Voir aussi
- Portail de la biologie cellulaire et moléculaire
- Portail de la biochimie